М
Молодежь
К
Компьютеры-и-электроника
Д
Дом-и-сад
С
Стиль-и-уход-за-собой
П
Праздники-и-традиции
Т
Транспорт
П
Путешествия
С
Семейная-жизнь
Ф
Философия-и-религия
Б
Без категории
М
Мир-работы
Х
Хобби-и-рукоделие
И
Искусство-и-развлечения
В
Взаимоотношения
З
Здоровье
К
Кулинария-и-гостеприимство
Ф
Финансы-и-бизнес
П
Питомцы-и-животные
О
Образование
О
Образование-и-коммуникации

Составьте схемы образования химических связей для веществ NaF, Cl2, HF.

👇
Ответ:
kmidakova
kmidakova
01.11.2022
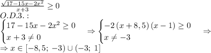
\frac{\sqrt{17-15x-2x^2}}{x+3}\geq0\\O.D.3.:\\\begin{cases}17-15x-2x^2\geq0\\x+3\neq0\end{cases}\Rightarrow \begin{cases}-2\left(x+8,5\right)\left(x-1)\geq0\\x\neq-3\end{cases}\Rightarrow\\\Rightarrow x\in[-8,5;\;-3)\cup(-3;\;1]
Дробь положительна, если и числитель и знаменатель имеют одинаковые знаки. В числителе корень. В данном случае решение неравенства совпадает с ОДЗ.
4,6(92 оценок)
Открыть все ответы
Ответ:
МашаМозг112
МашаМозг112
01.11.2022

1. Стадія протозорі та головної послідовності. Як показують дослідження, в міжзоряному середовищі є протяжні газово-пилові комплекси з масами в тисячі й десятки тисяч мас Сонця, розмірами 10-100 пк (30-300 св. р.) і температурою кілька десятків кельвінів. Такі комплекси гравітаційно нестійкі і з часом дробляться на окремі фрагменти. Саме з таких фрагментів внаслідок гравітаційного стиснення утворюються протозорі.

2. Відхід зорі від головної послідовності. Після вигорання водню в центрі зорі навколо гелієвого ядра утворюється тонкий сферичний енерговиділяючий шар. Він поділяє зорю на дві зони – вигоріле ядро і зовнішню оболонку. Фізичні процеси у двох зонах зорі розгортаються по-різному.

У міру вичерпання водню цей щораз далі відсувається від центральної зони, збільшуючи розміри і масу ядра.

4,7(50 оценок)
Ответ:
AntihypeSPB
AntihypeSPB
01.11.2022

Ориентирование в лесу

Находясь в тайге, трудно передвигаться среди завалов и буреломов, по густолесью, заросшему кустарником. Кажущаяся схожесть обстановки (деревьев, складок местности и т.п.) может полностью дезориентировать человека, и он будет двигаться по кругу, не подозревая о своей ошибке. Но, зная различные приметы, можно ориентироваться по сторонам света даже без компаса.

Приметы для ориентирования в лесу.

. Кора деревьев светлее, чище и эластичнее с южной стороны, грубее и темнее с северной. Стволы сосен покрываются вторичной корой, которая с южной стороны образуется позже и спускается ниже по стволу, чем с северной. Это особенно заметно после дождей, когда вторичная кора набухает и темнеет. Из лиственных деревьев мхом и лишайниками больше всего обрастают осины и тополя. В случаях, когда ствол дерева покрыт разросшимся лишайником вкруговую, надо ощупать его рукой. С северной стороны лишайник более влажный, плотный, его больше. Засохшие деревья, пни, упавшие на землю стволы в большей степени гниют с северной стороны.

. Мхи и лишайники на стволах деревьев, а также на камнях развеваются преимущественно на северной стороне.

. Смола на соснах и елях в жаркий день чаще выступает с южной стороны.

. К югу от одиночных пней и больших камней трава более густая и высокая. Весной на южных окраинах лесных полян трава не такая густая, как на северных. Летом при длительной жаре на южной стороне она желтеет и сохнет раньше, чем на северной.

. Южные склоны возвышенностей и холмов суше и меньше задернованы, вода размывает их сильнее.

. Хорошим ориентиром являются и квартальные столбы на пересечении лесных Как правило, направление север - юг или восток - запад.

Нумерация на квартальных столбах с севера на юг и с запада на восток, т.е. меньшая цифра оказывается в северо-западной части сектора, большая в юго-восточной.

. На северных склонах выпавшая утром роса сохраняется дольше. Ягоды на северных склонах холмов поспевают позже. Многие плоды приобретают окраску зрелости - краснеют или желтеют раньше на ветках, обращенных к югу. На цветущих кустарниках с южной стороны цветов больше, и распускаются они зачастую раньше, чем с северной.

. Суслики строят норки чаще всего к югу от камня или дерева.

. Весной стаи перелетных птиц летят на север, осенью - на юг.

. Степные пчелы строят свои жилища, напоминающие комки грязи на камнях или стенах, обращенных всегда к югу.

. Весной почва оголяется раньше на склонах, обращенных к югу. Корни деревьев и пней оголяются раньше с южной стороны. Лунки от стаявшего снега у одиноко стоящих деревьев, пней, камней вытянуты в южном направлении.

4,6(98 оценок)
Это интересно:
Новые ответы от MOGZ: Другие предметы
logo
Вход Регистрация
Что ты хочешь узнать?
Спроси Mozg
Открыть лучший ответ