М
Молодежь
К
Компьютеры-и-электроника
Д
Дом-и-сад
С
Стиль-и-уход-за-собой
П
Праздники-и-традиции
Т
Транспорт
П
Путешествия
С
Семейная-жизнь
Ф
Философия-и-религия
Б
Без категории
М
Мир-работы
Х
Хобби-и-рукоделие
И
Искусство-и-развлечения
В
Взаимоотношения
З
Здоровье
К
Кулинария-и-гостеприимство
Ф
Финансы-и-бизнес
П
Питомцы-и-животные
О
Образование
О
Образование-и-коммуникации

Определить среднюю кинетическую энергию поступательного движения и среднее значение полной кинетической энергии молекулы

👇
Ответ:
pro100miss
pro100miss
11.03.2022

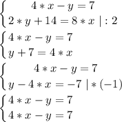
Бесконечно много решений: (x; 4·x–7), x∈R

Объяснение:

Решаем данную систему

\displaystyle \left \{ {{4*x-y=7} \atop {2*y+14=8*x \ |:2}} \right. \\\\ \left \{ {{4*x-y=7} \atop {y+7=4*x }} \right. \\\\\left \{ {{4*x-y=7} \atop {y-4*x=-7 \ |*(-1)}} \right.\\\\\left \{ {{4*x-y=7} \atop {4*x-y=7 }} \right.

Последняя система равносильно одному уравнению с двумя неизвестными y=4·x–7, что означает система имеет бесконечно много решений, то есть пары (x; 4·x–7), x∈R.

Если рассмотреть геометрический смысл системы, то система означает нахождение точку пересечения графиков двух функций. Но в данном случае получили одно уравнение и это означает, что графики функций совпадают, то есть точка пересечений бесконечно много.

4,4(22 оценок)
Открыть все ответы
Ответ:
danilcoptsov1
danilcoptsov1
11.03.2022

обжиг извести на нефти имеет свои особенности. нефть быстро сгорает в смеси с - воздухом, при этом развиваются чрезмерно высокие температуры, требующие использования специальных горелок.  [1]

обжиг извести заканчивается в нижней части шахты, там она охлаждается поступающим из-под колпака 7 холодным воздухом.  [2]

температура обжига извести определяется главным образом в зависимости от чистоты и плотности известняка, а также от-размеров его кусков.  [3]

для обжига извести применяются различные печи, но наибольшее распространение получили шахтные - непрерывно-действующие печи. сверху загружается сырье, снизу - разгружается готовая продукция. в процессе медленного опускания в шахте сырье первоначально подогревается, затем обжигается и, наконец, в нижней части охлаждается. необходимый для горения топлива воздуха, входя снизу, охлаждает образующуюся известь и поступает в зону горения достаточно подогретым. дымовые газы, поднимаясь вверх, свое тепло сырью, подсушивают его и через дымовую трубу выбрасываются в атмосферу. следовательно, в шахтных, известково-обжигательных печах различаются следующие зоны: подсушки и подогрева, об - жига и охлаждения.  [4]

4,5(25 оценок)
Ответ:
kseniya279
kseniya279
11.03.2022

ответ:

я дуже люблю читати казки туве янссон. це фінська письменниця, яка написала багато цікавих казок. у них є найрізноманітніші істоти. це сам мумі-троль, його мама і тато і друзі мумі-троля: снифф, хемуль, снорк і фрекен снорк. мені більше всіх подобається снусмумрик. у нього веселе ім'я, і ​​він грає на губній гармошці. у казці «капелюх чарівника» письменниця каже, що снусмумрик невідомо коли і де народився і завжди носив старе плаття і улюблену зелений капелюх з пером. снусмумрик дуже любить весну, як і інші жителі мумі - долини. коли настала весна, снусмумрик радів, грав на гармошці свої самі веселі пісеньки і перекидався через голову. це снусмумрик придумав, щоб забратися на вершину високої гори і скласти там піраміду з каменів. на вершині друзі знайшли чарівну капелюх, через яку з ними трапилися різні чудеса. з яєчних шкаралуп з'явилися веселі хмаринки, і мумі-троль з друзями на них каталися. сам мумі-троль перетворився в чудовисько з величезними вухами і хвостом-мітелкою, так що друзі його не впізнали і мало не побили. снусмумрик завжди піклується про своїх друзів і про інших істот. але він любить подорожувати в поодинці, тому що любить робити відкриття і завжди щось вигадує. снусмумрик розповідає друзям історії, і все дуже люблять його і сумують, коли він йде один в кругосвітню подорож. і в казці «капелюх чарівника снусмумрик йде подорожувати один і говорить про це тільки своєму другові мумі-троля. але він завжди повертається назад, коли скучити по мумі-долині і своїм друзям. снусмумрик йди не тому, що йому нудно, а тому, що його звуть нові місця. він просто любить подорожувати, тому що мандрівника завжди чекає щось нове і цікаве. він блукає по всій землі і бачить нові місця, нові гори і долини, зустрічає нових друзів. я теж дуже люблю подорожувати, але завжди сумую за друзями і швидко повертаюсь додому. і ще я не дуже люблю подорожувати один. мені здається, що це дуже сумно. мама мені розповіла, що туве янссон сама малює малюнки до своїх казок. снусмумрик на цих малюнках схожий на каченяти в довгій сукні і капелюсі. мені здається, що він такий, яким намалювала його письменниця. я хотів би коли-небудь відправитися разом з ним подорожувати.

объяснение:

4,6(75 оценок)
Это интересно:
Новые ответы от MOGZ: Другие предметы
logo
Вход Регистрация
Что ты хочешь узнать?
Спроси Mozg
Открыть лучший ответ