М
Молодежь
К
Компьютеры-и-электроника
Д
Дом-и-сад
С
Стиль-и-уход-за-собой
П
Праздники-и-традиции
Т
Транспорт
П
Путешествия
С
Семейная-жизнь
Ф
Философия-и-религия
Б
Без категории
М
Мир-работы
Х
Хобби-и-рукоделие
И
Искусство-и-развлечения
В
Взаимоотношения
З
Здоровье
К
Кулинария-и-гостеприимство
Ф
Финансы-и-бизнес
П
Питомцы-и-животные
О
Образование
О
Образование-и-коммуникации

Принадлежность материальных и духовных ценностей определенным лицам – это: А) облигация; Б) приватизационный чек;

👇
Ответ:
Molly11111
Molly11111
14.02.2023
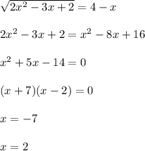
\sqrt{2 x^{2} -3x+2} =4-x \\ \\ 2 x^{2} -3x+2= x^{2} -8x+16 \\ \\ x^{2} +5x-14=0 \\ \\ (x+7)(x-2)=0 \\ \\ x=-7 \\ \\ x=2
4,7(17 оценок)
Открыть все ответы
Ответ:
malygin73rus
malygin73rus
14.02.2023

Прыжки на батуте . Звучит по-детски , многие думают , что это довольно лёгкий спорт и батут создан для детей и развлечений . Но всё не так просто , как кажется . Профисиональные прыжки на батуте - это сложно-координационный вид спорта, включающий в себя индивидуальные , синхронные и командные прыжки . Этот спорт требует , как физические нагрузки , так и моральные . Чтобы справиться с ним , прийдётся пройти через свои страхи и научиться думать в полёте о многих вещах одновременно.

Мне нравится прыгать на батуте , потому что я получаю от этого удовольствие и непередаваемые чувства. Мне нравится чувствовать высоту и я наслаждаюсь ею во время полёта. В общем , прыжки приносят огромное наслаждение и хорошее настроение

4,6(64 оценок)
Ответ:
qwert050749
qwert050749
14.02.2023

Игра - исторически сложившееся общественное явление, самостоятельный вид деятельности, свойственной человеку. Игра может быть средством самопознания, развлечения, отдыха, средством физического и общего социального воспитания, средством спорта. Игры являются сокровищницей человеческой культуры. Огромно их разнообразие. Они отражают все области материального и духовного творчества людей. Естественно, что изучением игр занимались и занимаются многие отрасли знаний: история, этнография, антропология, педагогика, теория и методика физического воспитания и др.

Игры, используемые для физического воспитания, очень разнообразны. Их можно разделить на 2 большие группы: подвижные и спортивные. Спортивные игры - высшая ступень развития подвижных игр. Они отличаются от подвижных едиными правилами, определяющими состав участников, размеры и разметку площадки, продолжительность игры, оборудование и инвентарь и др., что позволяет проводить соревнования различного масштаба. Соревнования по спортивным играм носят характер спортивной борьбы и требуют от участников большого физического напряжения и волевых усилий.

Игра рассматривается как осмысленная деятельность, направленная на достижение конкретных двигательных задач в быстроменяющихся условиях. В ней проявляется творческая инициатива играющего, выражающаяся в разнообразии действий, согласованная с коллективными действиями.

В игровой деятельности детей объективно сочетаются два очень важных фактора: с одной стороны, дети включаются в практическую деятельность, развиваются физически, привыкают самостоятельно действовать; с другой стороны -- получают моральное и эстетическое удовлетворение от этой деятельности, углубляют познания окружающей их среды. Все это в конечном итоге воспитанию личности в целом. Таким образом, игра -- одно из комплексных средств воспитания: она направлена на всестороннюю физическую подготовленность (через непосредственное овладение основами движения и сложных действий в изменяющихся условиях коллективной деятельности), совершенствование функций организма, черт характера играющих.

В условиях современной цивилизации в связи с резким снижением двигательной активности человека возрастает роль систематических занятий физическими упражнениями, подвижными играми.

Особое значение подвижных игр заключается в том, что они широко доступны людям самого разного возраста. Подвижные игры, несмотря на огромное разнообразие, связанное с этническими и другими особенностями, так или иначе отражают такие общие характерные черты, присущие этой форме деятельности, как взаимоотношение играющих с окружающей средой и познание реальной действительности. Целенаправленность и целесообразность поведения при достижении намеченной цели, связанного с внезапно возникающими и постоянно изменяющимися условиями, потребностью широкого выбора действий, требуют проявления творческих активности, инициативы. Такая широта использования возможностей, выражающаяся в самостоятельности и относительной свободе действий, сочетающихся с выполнением добровольно принятых или установленных условностей при подчинении личных интересов общим, связана с ярким проявлением эмоций. Все это с методической точки зрения характеризует подвижную игру как многоплановое, комплексное по воздействию, педагогическое средство воспитания. Комплексность выражается в формировании двигательных навыков, развитии и совершенствовании жизненно важных физических, умственных и морально-волевых качеств. Однако такое разностороннее воздействие не препятствует избирательной направленности в использовании народных подвижных игр.

Подробнее - на -

Объяснение:

4,6(28 оценок)
Это интересно:
Новые ответы от MOGZ: Другие предметы
logo
Вход Регистрация
Что ты хочешь узнать?
Спроси Mozg
Открыть лучший ответ