М
Молодежь
К
Компьютеры-и-электроника
Д
Дом-и-сад
С
Стиль-и-уход-за-собой
П
Праздники-и-традиции
Т
Транспорт
П
Путешествия
С
Семейная-жизнь
Ф
Философия-и-религия
Б
Без категории
М
Мир-работы
Х
Хобби-и-рукоделие
И
Искусство-и-развлечения
В
Взаимоотношения
З
Здоровье
К
Кулинария-и-гостеприимство
Ф
Финансы-и-бизнес
П
Питомцы-и-животные
О
Образование
О
Образование-и-коммуникации

Восприятие – это 1) форма рационального познания 2) психическое свойство, присущее только человеку

👇
Ответ:
анна2265
анна2265
11.10.2021
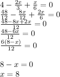
4- \frac{2x}{3} + \frac{x}{6} =0 \\ \frac{48}{12} - \frac{8x}{12} + \frac{2x}{6} =0 \\ \frac{48-8x+2x}{12} =0 \\ \frac{48-6x}{12} =0 \\ \frac{6(8-x)}{12} =0 \\ \\ \ 8-x=0 \\ x=8
4,4(54 оценок)
Открыть все ответы
Ответ:
Первая всеобщая перепись населения Российской империи, проведенная в январе 1897 г., зафиксировала 125 640 021 жителя (без Финляндии). Несмотря на то что две трети территории страны располагались в Азии, основная часть жителей (82 %) находилась в 50 губерниях Европейской России и в Польше. На Кавказе, в Сибири и Средней Азии проживало всего 18 % населения. Низкая плотность населения (по этому показателю Россия уступала европейским странам в 4—13 раз) при наличии обширных неосвоенных земель служила основой для сохранения в стране экстенсивных форм хозяйства. Другой особенностью России было то, что подавляющая часть населения (86,6 %) проживала в сельской местности и только 13,4 % — в городах. (Между тем в начале XX в. в Англии горожане составляли 77 %, в Германии — 54,4 %, во Франции - 40,9%, в США - 25,8%.) В Европейской России возникло аграрное перенаселение. Это стало одной из причин усилившегося в 1890-е гг. переселенческого движения на Кавказ, в Заволжье, в Сибирь, Казахстан и Среднюю Азию.
К началу XX в. Россия стояла на одном из первых мест по уровню рождаемости. Она была одной из самых «молодых» стран мира. Около половины жителей страны (48,4 %) составляли люди моложе 20 лет. Высокие темпы естественного прироста населения сохранялись до 1914 г. К этому времени население Российской империи возросло более чем на 40 млн человек и составило 165,7 млн (без Финляндии).
4,5(4 оценок)
Ответ:
zzzzmi
zzzzmi
11.10.2021
Россия — индустриально-аграрная страна, большую часть продукции в которой даёт промышленность. По объёму промышленного производства Россия занимает 5 место в мире (между Германией и Францией). Но достигнуто это почти исключительно за счёт экспорта нефти и газа. По добыче и экспорту многих видов полезных ископаемых Россия занимает высокие места в мире. В отраслях, выпускающих готовую продукцию, позиции России далеко не так сильны. Ситуация в сельском хозяйстве начинает улучшаться. Россия вышла на ведущие позиции в экспорте пшеницы, увеличивается производство мяса всех видов. Развивается плодоовощное хозяйство.
4,4(5 оценок)
Это интересно:
Новые ответы от MOGZ: Другие предметы
logo
Вход Регистрация
Что ты хочешь узнать?
Спроси Mozg
Открыть лучший ответ