М
Молодежь
К
Компьютеры-и-электроника
Д
Дом-и-сад
С
Стиль-и-уход-за-собой
П
Праздники-и-традиции
Т
Транспорт
П
Путешествия
С
Семейная-жизнь
Ф
Философия-и-религия
Б
Без категории
М
Мир-работы
Х
Хобби-и-рукоделие
И
Искусство-и-развлечения
В
Взаимоотношения
З
Здоровье
К
Кулинария-и-гостеприимство
Ф
Финансы-и-бизнес
П
Питомцы-и-животные
О
Образование
О
Образование-и-коммуникации
AbraevAidar
AbraevAidar
05.10.2022 01:10 •  Другие предметы

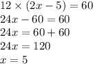
Тендеуды шеш 12x(2x–5)=60

👇
Ответ:
dias2266
dias2266
05.10.2022

x = 5

Объяснение:

12 \times (2x - 5) = 60 \\ 24x - 60 = 60 \\ 24x = 60 + 60 \\ 24x = 120 \\ x = 5

4,6(92 оценок)
Открыть все ответы
Ответ:
lilli393
lilli393
05.10.2022
Время идет (летит, тянется, остановилось) — жизнь продолжается, жизнь пролетает очень быстро, длительное ожидание чего-либо, невыносимо долгое ожидание чего-либо. Время  покажет (будет результат, ожидать результат, надеяться на лучшее). Время не ждет.(мало времени, надо торопиться, время нельзя остановить). До поры до времени (на некоторый срок, недолго, до определенного момента). Выиграть время (иметь в запасе некоторое время, опередить в чем-либо, дождаться удобного момента).
3. Заранее подготовившись к походу, можно выиграть время и отдохнуть перед стартом. Все тайное бывает тайным только до поры до времени. Как летит время, а ведь, казалось, только вчера были первоклассниками. Кто станет золотым медалистом, время покажет, а пока надо усиленно заниматься. Надо заканчивать репетицию концерта, время не ждет — через час выступление.
4,8(45 оценок)
Ответ:
Андре127
Андре127
05.10.2022
На картине «Новая планета» рождение нового космического тела сопровождается яркими всполохами, которые освещают людей. Свидетели необычного явления, разрушающего, привычный уклад жизни, старый мир. по-разному реагируют на происходящее. Кто-то видит в этом рождение нового прекрасного мира. Они с надеждой протягивают руки навстречу яркому свету. У некоторых нет сил идти. Они падают в изнеможении и ползут из последних сил к этому новому.
У других крушение старого мира вызывает панический ужас. Они, быть может, воспринимают появление новой планеты, как конец света. Люди в страхе падают ниц, закрывают головы, пытаясь укрыться спастись от надвигающейся катастрофы. Но тех, и других космический катаклизм не оставляет равнодушным.
4,8(57 оценок)
Это интересно:
Новые ответы от MOGZ: Другие предметы
logo
Вход Регистрация
Что ты хочешь узнать?
Спроси Mozg
Открыть лучший ответ