М
Молодежь
К
Компьютеры-и-электроника
Д
Дом-и-сад
С
Стиль-и-уход-за-собой
П
Праздники-и-традиции
Т
Транспорт
П
Путешествия
С
Семейная-жизнь
Ф
Философия-и-религия
Б
Без категории
М
Мир-работы
Х
Хобби-и-рукоделие
И
Искусство-и-развлечения
В
Взаимоотношения
З
Здоровье
К
Кулинария-и-гостеприимство
Ф
Финансы-и-бизнес
П
Питомцы-и-животные
О
Образование
О
Образование-и-коммуникации
LysaPysa
LysaPysa
03.07.2021 19:31 •  Другие предметы

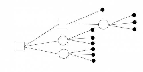
Для предоставленной схемы дерева решений придумайте условие задачи и найдите ее решение


Для предоставленной схемы дерева решений придумайте условие задачи и найдите ее решение

👇
Открыть все ответы
Ответ:
Milkiskiss
Milkiskiss
03.07.2021
ПЯТЬ ЗОЛОТЫХ ПРАВИЛ ГИГИЕНЫ ЗРЕНИЯПравило 1. Как можно меньше смотреть телевизор, сидеть за компьютером.Правило 2. Никогда не читать непрерывно более 30 мин. Обязательно встать, размяться и только потом продолжать читать.Правило 3. Никогда не читать лёжа и в других условиях отсутствия комфорта: слабое освещение, во время поездки в транспорте и т.п. Помни:  расстояние от текста до глаз должно составлять 33 см.Правило 4. Как можно больше динамических физических нагрузок для общего укрепления организма и активизации его функций. Для зрения предпочтительны игровые виды спорта, развивающие периферическое зрение: футбол, хоккей, баскетбол, волейбол, теннис и т. д.Правило 5. Постоянно следить и укреплять своё зрение с упражнений. Один раз в год посещать врача, проверять зрение.···
4,7(37 оценок)
Ответ:
Pustynya
Pustynya
03.07.2021

Вопрос 1: Множественный выбор

11.Что делают с ядром в лёгкой атлетике? …

ОТВЕТ: толкают

Вопрос 2: Множественный выбор

12.Какой бег не относится к бегу с естественными препятствиями ?

ОТВЕТ: кросс

Вопрос 3: Множественный выбор

14.Какого вида прыжков в длину с разбега не существует?

ОТВЕТ: прогнувшись

Вопрос 4: Множественный выбор

15.Какой вид прыжков используется как тренировочное средство и контрольное упражнение?

ОТВЕТ: прыжок в длину с места

Вопрос 5: Множественный выбор

13.Как называется один из видов бега с искусственными препятствиями?

ОТВЕТ:  степ-тест

4,8(21 оценок)
Это интересно:
Новые ответы от MOGZ: Другие предметы
logo
Вход Регистрация
Что ты хочешь узнать?
Спроси Mozg
Открыть лучший ответ