М
Молодежь
К
Компьютеры-и-электроника
Д
Дом-и-сад
С
Стиль-и-уход-за-собой
П
Праздники-и-традиции
Т
Транспорт
П
Путешествия
С
Семейная-жизнь
Ф
Философия-и-религия
Б
Без категории
М
Мир-работы
Х
Хобби-и-рукоделие
И
Искусство-и-развлечения
В
Взаимоотношения
З
Здоровье
К
Кулинария-и-гостеприимство
Ф
Финансы-и-бизнес
П
Питомцы-и-животные
О
Образование
О
Образование-и-коммуникации
sprinter99
sprinter99
23.11.2021 02:12 •  Другие предметы

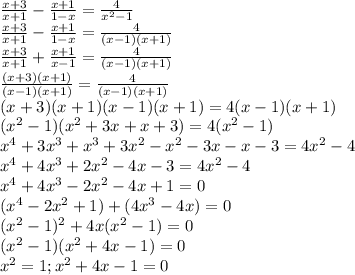
Решите, , уравнение \frac{x + 3}{x + 1} - \frac{x + 1}{1 - x} = \frac{4}{x {}^{2} - 1}

👇
Ответ:

\frac{x+3}{x+1} -\frac{x+1}{1-x} =\frac{4}{x^2-1} \\\frac{x+3}{x+1} -\frac{x+1}{1-x} =\frac{4}{(x-1)(x+1)} \\\frac{x+3}{x+1} +\frac{x+1}{x-1} =\frac{4}{(x-1)(x+1)} \\\frac{(x+3)(x+1)}{(x-1)(x+1)} = \frac{4}{(x-1)(x+1)}\\(x+3)(x+1)(x-1)(x+1)=4(x-1)(x+1) \\(x^2-1)(x^2+3x+x+3)=4(x^2-1)\\x^4+3x^3+x^3+3x^2-x^2-3x-x-3=4x^2-4\\x^4+4x^3+2x^2-4x-3=4x^2-4\\x^4+4x^3-2x^2-4x+1=0\\(x^4-2x^2+1)+(4x^3-4x)=0\\(x^2-1)^2+4x(x^2-1)=0\\(x^2-1)(x^2+4x-1)=0\\x^2=1 ; x^2+4x-1=0

Дальше решаешь квадратные уравнения

Пошаговое объяснение:

4,6(67 оценок)
Открыть все ответы
Ответ:
Beckonechnost
Beckonechnost
23.11.2021
В каких случаях: How many, а когда How much
Эти оба слова переводятся  - сколько?

How many берётся с исчисляемыми существительными ( с теми, которые можно сосчитать) : Например, How many students are there in your group?
- Сколько студентов в вашей группе? (Студентов можно посчитать.) Глагол берётся в форме множественного числа.

Другой пример, How much water (milk/meat/bread/butter/cheese/) is there in the refrigerator? -Сколько воды (молока, мяса, хлеба, масла, сыра)  в
холодильнике. Все продукты, жидкости, материалы и т.п. относятся к
неисчисляемым существительным. С ними берём How much и глагол в единственном числе.
4,4(95 оценок)
Ответ:
эрж1
эрж1
23.11.2021
В каких случаях: How many, а когда How much
Эти оба слова переводятся  - сколько?

How many берётся с исчисляемыми существительными ( с теми, которые можно сосчитать) : Например, How many students are there in your group?
- Сколько студентов в вашей группе? (Студентов можно посчитать.) Глагол берётся в форме множественного числа.

Другой пример, How much water (milk/meat/bread/butter/cheese/) is there in the refrigerator? -Сколько воды (молока, мяса, хлеба, масла, сыра)  в
холодильнике. Все продукты, жидкости, материалы и т.п. относятся к
неисчисляемым существительным. С ними берём How much и глагол в единственном числе.
4,8(5 оценок)
Это интересно:
Новые ответы от MOGZ: Другие предметы
logo
Вход Регистрация
Что ты хочешь узнать?
Спроси Mozg
Открыть лучший ответ