М
Молодежь
К
Компьютеры-и-электроника
Д
Дом-и-сад
С
Стиль-и-уход-за-собой
П
Праздники-и-традиции
Т
Транспорт
П
Путешествия
С
Семейная-жизнь
Ф
Философия-и-религия
Б
Без категории
М
Мир-работы
Х
Хобби-и-рукоделие
И
Искусство-и-развлечения
В
Взаимоотношения
З
Здоровье
К
Кулинария-и-гостеприимство
Ф
Финансы-и-бизнес
П
Питомцы-и-животные
О
Образование
О
Образование-и-коммуникации

Особая, специфическая форма реализации каждой из управленческих функций в индивидуальной деятельности руководителя

👇
Ответ:
hcjdbghfgyfjfh
hcjdbghfgyfjfh
03.10.2022

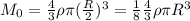
Формула объема шара:

V=\frac{4}{3}\pi R^3

Масса:

M=\rho V

Масса при начальном объеме:

M=\frac{4}{3}\rho\pi R^3

Масса, на которую уменьшился шар:

M_{0}=\frac{4}{3}\rho\pi (\frac{R}{2})^3=\frac{1}{8}\frac{4}{3}\rho\pi R^3

Конечная масса:

M_{1}=M-M_{0}=\frac{4}{3}\rho\pi R^3\cdot (1-\frac{1}{8})=\frac{7}{8}\frac{4}{3}\rho\pi R^3

M_{1}=\frac{7}{8}\cdot M

Закон всемирного тяготения:

F=G\frac{Mm}{R^2}

С нашими величинами:

F=G\frac{M_{1}m}{d^2}

G-const, G=6.671\cdot 10^{-11}

F=6.671\cdot 10^{-11}\frac{7\cdot Mm}{8\cdot d^2}

F\approx 6\cdot 10^{-11}\cdot \frac{Mm}{d^2}

 

 

4,6(35 оценок)
Открыть все ответы
Ответ:
oleg059
oleg059
03.10.2022

 Алтай – это музыка жизни. Созвучие сотен голосов ручейков и рек, переливчатые трели миллионов птиц, ласковый шепот ветра, разноголосые песни диких животных и мягкий напев растений, ароматы пестрых и броских цветов, благоухание трав, величественный вид остроконечных гор и милая красота бескрайних равнин, золотые поля пшеницы и многовековые леса, чистое высокое небо и кристальная мудрая вода, и дух свободы, витающий везде, и спокойствие и умиротворение, которыми пропитана эта Земля. Все это сливается здесь в симфонию мира и гармонии. 

    Алтай – волшебный, сказочный край. Впервые попав сюда, даже самый чёрствый человек не сможет остаться равнодушным к красотам природы. Каждый здесь найдет то, что придется ему по душе. Снежные пики, устремляющиеся в облака или бескрайние равнины, звонкие ручейки и реки или грохочущие водопады. 

    Но вся эта красота очень хрупка. Все может в один миг рассыпаться на миллионы осколков, если мы не сохраним, если мы не сбережем, если мы не научимся жить в гармонии с собой, ведь именно из-за не согласия с самим собой человек поступает не верно: губит природу и себя. Некоторые люди говорят: «Да, засорение окружающей среды опасно, неправильно, вредно!». А потом идут и мусорят: «Один фантик или бутылка ничего не изменят!». И вот оно, разногласие, дисгармония. Но как достичь гармонии? Прежде всего, нужно обратиться к своему сердцу. И оно подскажет, что здесь нужна любовь. Любовь, которая мир. Любовь к природе, к Родине, к нашему дому - маленькой планете Земля, которая нас приютила и к людям, которые тебя окружают. Но в наше время ни в школе, ни дома не учат любить окружающий мир таким, какой он есть. И пока мы этому ни научимся, мы не сможем сохранить и природу, потому что здесь нужны усилия всех людей, объединенных любовью к своему дому.

4,4(36 оценок)
Ответ:
svetusik214
svetusik214
03.10.2022
Эти герои открыто выражают взгляды "честного" человека на дворянскую мораль, семейные отношения и даже гражданское устройство. Этот драматургический прием поистине вызвал переворот в русской просветительской литературе: от критики отрицательных сторон действительности к поискам путей изменения существующего строя. 

Речь положительных героев яркостью не отличается. Это речь книжная, речь образованных людей того времени, которая практически не выражает эмоций. Смысл сказанного понимаешь из непосредственного значения слов. У остальных же героев смысл можно уловить в самой динамике речи. 

Речь Милона отличить от речи Правдина практически невозможно. О Софье тоже очень трудно что-либо сказать по ее речи. Образованная, благонравная барышня, как бы ее назвал Стародум, чутко воспринимающая советы и наставления любимого дяди. Речь Стародума полностью определяется тем, что в уста этого героя автор вложил свою нравственную программу: правила, принципы, нравственные законы, по которым "любочестивый человек" должен жить. Монологи Стародума построены таким образом: Стародум сначала рассказывает историю из своей жизни, а потом выводит мораль. Таков, например, разговор Стародума с Правдиным. А разговор Стародума с Софьей — это свод правил, и "...всякое слово врезано будет в сердце". 
4,8(99 оценок)
Это интересно:
Новые ответы от MOGZ: Другие предметы
logo
Вход Регистрация
Что ты хочешь узнать?
Спроси Mozg
Открыть лучший ответ