М
Молодежь
К
Компьютеры-и-электроника
Д
Дом-и-сад
С
Стиль-и-уход-за-собой
П
Праздники-и-традиции
Т
Транспорт
П
Путешествия
С
Семейная-жизнь
Ф
Философия-и-религия
Б
Без категории
М
Мир-работы
Х
Хобби-и-рукоделие
И
Искусство-и-развлечения
В
Взаимоотношения
З
Здоровье
К
Кулинария-и-гостеприимство
Ф
Финансы-и-бизнес
П
Питомцы-и-животные
О
Образование
О
Образование-и-коммуникации
poly77
poly77
03.10.2022 01:05 •  Другие предметы

Принцип управления не одним, а несколькими скоординированными, иерархически равнопорядковыми центрами, между которыми

👇
Ответ:
diaries1
diaries1
03.10.2022

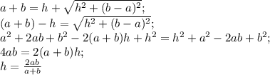
Пусть ABCD - прямоугольная трапеция AB=a, CD=b, a<b

Проведеем высоту BK=AD=h

AB=DK=a, DK=b-a

 

Так как в трапецию вписан круг, то суммы ее противоположных сторон равны, т.е.

AB+CD=AD+BC

откуда (и теоремы Пифагора)

a+b=h+\sqrt{h^2+(b-a)^2};\\ (a+b)-h=\sqrt{h^2+(b-a)^2};\\ a^2+2ab+b^2-2(a+b)h+h^2=h^2+a^2-2ab+b^2;\\ 4ab=2(a+b)h;\\ h=\frac{2ab}{a+b}

 

Площадь трапеции равна половине произведения суммы оснований на высоту трапеции

S(ABCD)=\frac{(AB+CD)}{2}*AD=\frac{a+b}{2}*\frac{2ab}{a+b}=ab

ответ: ав


Принцип управления не одним, а несколькими скоординированными, иерархически равнопорядковыми центрам
4,6(99 оценок)
Открыть все ответы
Ответ:
ksenya20042
ksenya20042
03.10.2022
Техника безопасности при работе с электрооборудованием авто предполагает использование:
удобной одежды без свисающих элементов,
чистого незамасленного инструмента,
вс устройств для демонтажа тяжелого оборудования,
защищенных от механических повреждений переносных электрических ламп напряжением 36 В (в осмотровой канаве — 12 В).
Особое внимание следует уделить используемому электроинструменту. Его применение допускается только после предварительной проверки состояния изоляции проводов. При работе обязательным является и использование защитных при : резиновой обуви и перчаток.
4,5(26 оценок)
Ответ:
perecnikova
perecnikova
03.10.2022

George Bernard Shaw) (26 липня 1856 — 2 листопада 1950) — ірландський драматург і публіцист, родом з Дубліна, лауреат Нобелівської премії з літератури 1925 року, помер в Ейот-Сент-Лоренс, Англія. Саме Б. ... На українській сцені вперше ставив п'єси Шоу Лесь Курбас у «Молодому театрі» («Кандіда», 1918) й Театрі ім. Т.

Людина століття», Бернард Шоу прожив довге й плідне життя. Понад сімдесят років він віддав літературній праці. Письменник Шоу пробував свої сили в різних жанрах — виступав як прозаїк, публіцист, музикальний, театральний і літературний критик, але найповніше його талант розкрився в драматургії. Бернард Шоу — найвеличніший англійський драматург від часів Шекспіра. Саме його зусиллями театр Англії на порубіжжі ХІХ-ХХ ст. повернув собі не лише загальноєвропейську, а й світову славу.

4,6(12 оценок)
Это интересно:
Новые ответы от MOGZ: Другие предметы
logo
Вход Регистрация
Что ты хочешь узнать?
Спроси Mozg
Открыть лучший ответ