М
Молодежь
К
Компьютеры-и-электроника
Д
Дом-и-сад
С
Стиль-и-уход-за-собой
П
Праздники-и-традиции
Т
Транспорт
П
Путешествия
С
Семейная-жизнь
Ф
Философия-и-религия
Б
Без категории
М
Мир-работы
Х
Хобби-и-рукоделие
И
Искусство-и-развлечения
В
Взаимоотношения
З
Здоровье
К
Кулинария-и-гостеприимство
Ф
Финансы-и-бизнес
П
Питомцы-и-животные
О
Образование
О
Образование-и-коммуникации
osmo2008
osmo2008
06.04.2020 19:06 •  Другие предметы

Мышление обладает свойством обобщенности сенситивности локальности

👇
Ответ:
2йошник
2йошник
06.04.2020

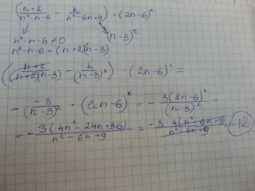
знаменатели разложи на множетили, потом в первой дроби  сокращается хорошо. а дальше просто


Мышление обладает свойством обобщенности сенситивности локальности
4,8(33 оценок)
Открыть все ответы
Ответ:
marinadobrynin1
marinadobrynin1
06.04.2020

ответ:

введение.

международной торговле, современный человек имеет возможность пробовать продукты со всего мира. специи и пряности крупнейших мировых производителей появились на прилавках российских магазинов. они постепенно вошли в нашу жизнь и заняли в ней прочное место. без них не обходится ни один повар, и ни одно блюдо не будет таким вкусным и ароматным, если не добавить в него специй.

когда-то специи, пряности и приправы ценились на вес золота. например, раньше стоимость пригоршни равнялась годовому заработку бедняка, рабов продавали за несколько пригоршней перца-горошка, а за фунт сушеного мускатного цвета можно было купить три овцы и корову. часто они были, скорее, аптекарским, нежели кулинарным товаром. современная кухня немыслима без специй и пряностей, однако их применение требует специфических знаний. (1)

прилавки магазинов пестрят красочно упакованными специями, пряностями и приправами. как выбрать продукт, какая упаковка лучше, продукцию какого производителя выгоднее купить? на эти и другие вопросы отвечает моя работа, поэтому считаю ее своевременной и актуальной.

цель работы. дать анализ современного рынка специй и пряностей.

:

1.подобрать и проанализировать по данной теме, отобрать материал, необходимый для написания работы.

2.проанализировать и дать оценку современного рынка специй и пряностей. 3.выполнить проект.

основные методы.

в настоящем исследовании будем применять методы теоретического анализа и синтеза, проектный метод. с их дается оценка современного рынка специй и пряностей.

надеюсь это то что вам нужно

4,8(41 оценок)
Ответ:
prencessviki
prencessviki
06.04.2020

ответ:

pommes frites (frz. pommes [de terre] frites [pɔm (dəˌtɛʀˈ) fʀit], „gebackene kartoffeln“), umgangssprachlich in deutschland meist pommes ([ˈpɔməs]) oder fritten genannt, sind frittierte, etwa fingerlange stäbchen aus kartoffeln. ursprünglich in belgien beheimatet, sind sie heute weltweit als beilage verbreitet. 

zur zubereitung von pommes frites werden geschälte große kartoffeln längs in stäbchen von knapp einem zentimeter diagonalquerschnitt und einer länge von 4 bis 10 cm geschnitten, dann die stärke abgewaschen, auf einer saugfähigen unterlage abgetrocknet und anschließend in pflanzenöl oder – wie in belgien üblich – mit rindernierenfett in der regel zweimal frittiert. 

heute gelten pommes frites außerhalb von belgien, frankreich und den niederlanden als eher einfache beilage zu gegrilltem fleisch, fisch oder bratwurst. serviert werden sie häufig mit ketchup, mayonnaise, senf und teilweise auch mit essig (vor allem in großbritannien). in großbritannien werden pommes frites häufig auch zu italienischem essen wie spaghetti und lasagne serviert. in den usa wurden pommes frites erst durch die rückkehr der us-soldaten aus europa nach dem ersten weltkrieg bekannt und erhielten im angloamerikanischen sprachraum die gängige bezeichnung french fries. im britischen englisch werden pommes frites dagegen chips genannt. 

ich mag gerne pommes frites essen, weil sie fettig, salzig, ungesund und stinkig sind. ü man wird schnell satt und auch schnell fett. ich koennte pommes frites 3 mal pro tag zum fruestuck, zum mittag und abends speisen. ich hasse kartofeln schaelen und bestelle gerne pommes frites bei mcdonald’s.

объяснение:

выбери нужные

4,6(45 оценок)
Новые ответы от MOGZ: Другие предметы
logo
Вход Регистрация
Что ты хочешь узнать?
Спроси Mozg
Открыть лучший ответ