М
Молодежь
К
Компьютеры-и-электроника
Д
Дом-и-сад
С
Стиль-и-уход-за-собой
П
Праздники-и-традиции
Т
Транспорт
П
Путешествия
С
Семейная-жизнь
Ф
Философия-и-религия
Б
Без категории
М
Мир-работы
Х
Хобби-и-рукоделие
И
Искусство-и-развлечения
В
Взаимоотношения
З
Здоровье
К
Кулинария-и-гостеприимство
Ф
Финансы-и-бизнес
П
Питомцы-и-животные
О
Образование
О
Образование-и-коммуникации
barmeb11
barmeb11
16.04.2022 08:49 •  Другие предметы

На сколько градусов солнечное пятно, расположенное вблизи экватора (период вращения равен 25 суткам) за один оборот обгонит другое пятно

👇
Ответ:
then3rvnyy
then3rvnyy
16.04.2022
Решение во вложении..........
На сколько градусов солнечное пятно, расположенное вблизи экватора (период вращения равен 25 суткам)
4,4(49 оценок)
Ответ:
DanilGorev
DanilGorev
16.04.2022
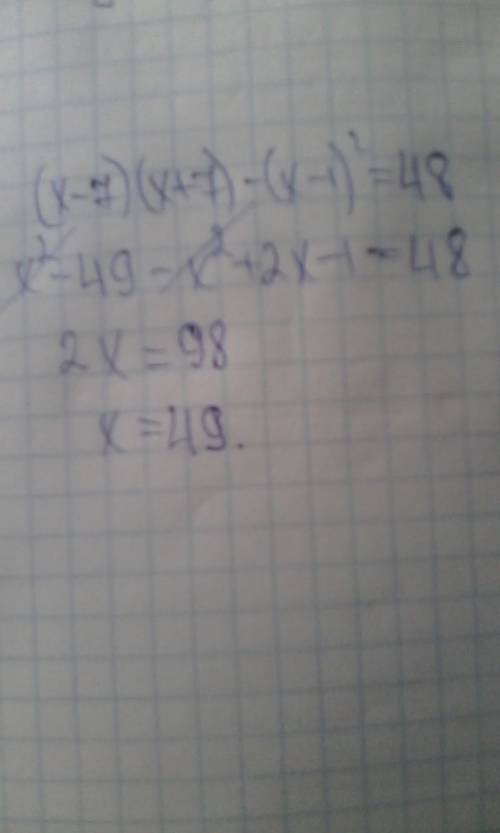
(x-7)(x+7)-(x-1)^2=48 \\ x^{2} -49-( x^{2} -2x+1)=48 \\ x^{2} -49- x^{2} +2x-1=48 \\ 2x=48+49+1 \\ 2x=48+50 \\ 2x=98 \\ x=98:2 \\ x=49 \\ Otvet:x=49

4,4(90 оценок)
Открыть все ответы
Ответ:
anonimm852
anonimm852
16.04.2022

1)Суротто эмнелер тартылган?

Суротто тоолор,чоптор,бактар жана жаныбарлар тартылыптурат.

2)Жаныбарлар эмне учун чогулушту?

Алар чымчыктын ырдаганын угуш учун.

3)Алар эмне жонундо суйлошуп жатышат?

Алар чымчык жонундо суйлошуп жатышат.

4)Аю эмнеге танкалып жатат?

Аю чымчык ырдаганына тан калып жатат.

5)Эшек эмнеге нааразы болуп жатат?

Себеби эшеке чымчык ырдаганы жакан жок.

6)Жаныбарлар эмне учун адамча кийинип алышкан?

Себеби алар театрга баролушпайт, ошон учун алар кичине болсо да театырда отургандай сезилиш учун.

Объяснение:

Удачи!

4,4(53 оценок)
Ответ:
двоишник54
двоишник54
16.04.2022

1. МИФ - это древнее народное сказание о легендарных героях, богах, о происхождении явлений природы.

2.«Безболезненная и счастливая жизнь людей была вечным пиром» - это описание мифа пяти веков.

3.«Безболезненная и счастливая жизнь людей была вечным пиром» - это описание медного века.

4.Геракл служил: богине Афине богу Зевсу Эврисфею царю Авгию.

5. Путь в сады Гесперид Гераклу подсказал Атлант

6.ИЗ-ЗА хитрости и стратегии, оторвав его от земли, тем самым лишив силы.

7. Обязанностью титана Атласа являлось то, что он держал небо на плечах

8. Отцом Гесперид был Атлас

9. Что происходит в финале мифа «Яблоки Гесперид».

Геракл подарил яблоки Афине Палладе, та отдала их обратно в сады Гесперид.

10. Кто такой Прометей? Титан

11. За что был наказан Прометей?

Дал людям огонь.

12. Какое наказание ждало Прометея?

приковали цепями к скале.

13. Друг Прометея, исполнивший приговор:

Гефест

14. Кто освободил Прометея:

Геракл

4,6(6 оценок)
Новые ответы от MOGZ: Другие предметы
logo
Вход Регистрация
Что ты хочешь узнать?
Спроси Mozg
Открыть лучший ответ