М
Молодежь
К
Компьютеры-и-электроника
Д
Дом-и-сад
С
Стиль-и-уход-за-собой
П
Праздники-и-традиции
Т
Транспорт
П
Путешествия
С
Семейная-жизнь
Ф
Философия-и-религия
Б
Без категории
М
Мир-работы
Х
Хобби-и-рукоделие
И
Искусство-и-развлечения
В
Взаимоотношения
З
Здоровье
К
Кулинария-и-гостеприимство
Ф
Финансы-и-бизнес
П
Питомцы-и-животные
О
Образование
О
Образование-и-коммуникации
logangeor
logangeor
02.07.2020 04:27 •  Другие предметы

Как граждане осуществляют местное самоуправление?

👇
Ответ:
shreyder2016
shreyder2016
02.07.2020
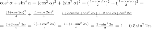
\cos^4 \alpha +\sin^4 \alpha =(\cos^2 \alpha)^2 +(\sin^2 \alpha )^2=(\frac{1+\cos2 \alpha }{2})^2+(\frac{1-\cos2 \alpha }{2})^2=\\\\=\frac{(1+\cos2 \alpha )^2}{4}+\frac{(1-\cos2 \alpha)^2 }{4}=\frac{1+2\cos2 \alpha +\cos^22 \alpha +1-2\cos2 \alpha +\cos^22 \alpha }{4}=\\\\=\frac{2+2\cos^22 \alpha }{4}=\frac{2(1+\cos^22 \alpha )}{4}=\frac{1+(1-\sin^22 \alpha) }{2}=\frac{2-\sin^22 \alpha }{2}=1-0.5\sin^22 \alpha .
4,5(87 оценок)
Открыть все ответы
Ответ:
Денисс2017
Денисс2017
02.07.2020
На исходе освободительной войны отношения между Украиной и Россией укрепились. Они охватили разные стороны межгосударственных связей. Идея объединения двух государств для преодоления общего врага становилась реальной и была поддержана широкими массами населения. 1 октября 1653 г. в Москве произошло новое заседание Земского собора, в работе которого приняли участие патриарх Никон, митрополиты, архиепископы, старшины монастырей и представители других социальных кругов населения. Собор постановил начать войну против Польши, а Алексей Михайлович, писалось в постановлении, «изволив того гетмана Богдана Хмельницкого и все войско Запорожское с городами и землями принять под свою государева высокую руку». Через несколько дней для подписания договора из Москвы в Украину выехало посольство боярина Василия Бутурлина. Украинское население повсюду радостно встречало его.
4,4(27 оценок)
Ответ:
koshkinaeri
koshkinaeri
02.07.2020
На исходе освободительной войны отношения между Украиной и Россией укрепились. Они охватили разные стороны межгосударственных связей. Идея объединения двух государств для преодоления общего врага становилась реальной и была поддержана широкими массами населения. 1 октября 1653 г. в Москве произошло новое заседание Земского собора, в работе которого приняли участие патриарх Никон, митрополиты, архиепископы, старшины монастырей и представители других социальных кругов населения. Собор постановил начать войну против Польши, а Алексей Михайлович, писалось в постановлении, «изволив того гетмана Богдана Хмельницкого и все войско Запорожское с городами и землями принять под свою государева высокую руку». Через несколько дней для подписания договора из Москвы в Украину выехало посольство боярина Василия Бутурлина. Украинское население повсюду радостно встречало его.
4,4(96 оценок)
Это интересно:
Новые ответы от MOGZ: Другие предметы
logo
Вход Регистрация
Что ты хочешь узнать?
Спроси Mozg
Открыть лучший ответ