М
Молодежь
К
Компьютеры-и-электроника
Д
Дом-и-сад
С
Стиль-и-уход-за-собой
П
Праздники-и-традиции
Т
Транспорт
П
Путешествия
С
Семейная-жизнь
Ф
Философия-и-религия
Б
Без категории
М
Мир-работы
Х
Хобби-и-рукоделие
И
Искусство-и-развлечения
В
Взаимоотношения
З
Здоровье
К
Кулинария-и-гостеприимство
Ф
Финансы-и-бизнес
П
Питомцы-и-животные
О
Образование
О
Образование-и-коммуникации
ehot2004
ehot2004
11.03.2022 10:14 •  Другие предметы

Какова общая причина возникновения индукционного тока?

👇
Ответ:
прп30
прп30
11.03.2022
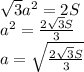
Площадь прямоугольного треугольника равна половине произведения его катетов. Поэтому ab=2S(a и b - катеты(пусть b - катет с прилежащим к нему углом 30 градусов)). Воспользуемся тангенсом угла 60 градусов.
 \frac{b}{a}= \sqrt{3} \\ b= \sqrt{3}a . Подставляем вместо b это выражение в формулу ab=2S
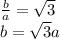
 \sqrt{3}a^2=2S \\ a^2= \frac{2 \sqrt{3}S }{3} \\ a= \sqrt{\frac{2 \sqrt{3}S}{3}} . Теперь находим b
b= \sqrt{2S \sqrt{3} } . Подставляй вместо S значение и получишь ответ:)
4,5(89 оценок)
Открыть все ответы
Ответ:
dashakid1
dashakid1
11.03.2022
Наука предлагает различать в долге две стороны: долг общественный и долг моральный. Общественный долг — это все объективные обязанности, которые человеку необходимо в жизни выполнять. Обязанности существуют везде, где действует человек: на работе, на отдыхе, в учёбе, в общественной деятельности, дома, в семье, в общественных местах, по отношению к друзьям, окружающим людям, природе, а также к самому себе. Чтобы общество могло жить и развиваться, каждый должен выполнять свои обязанности независимо от личных желаний и склонностей. Кстати, многие общественные обязанности регулируются правом, законами, имеющими принудительный характер. Честное исполнение долга приносит пользу всем — и обществу в целом, и отдельному человеку, а нечестное может привести к самым печальным последствиям.
4,5(64 оценок)
Ответ:
Наука предлагает различать в долге две стороны: долг общественный и долг моральный. Общественный долг — это все объективные обязанности, которые человеку необходимо в жизни выполнять. Обязанности существуют везде, где действует человек: на работе, на отдыхе, в учёбе, в общественной деятельности, дома, в семье, в общественных местах, по отношению к друзьям, окружающим людям, природе, а также к самому себе. Чтобы общество могло жить и развиваться, каждый должен выполнять свои обязанности независимо от личных желаний и склонностей. Кстати, многие общественные обязанности регулируются правом, законами, имеющими принудительный характер. Честное исполнение долга приносит пользу всем — и обществу в целом, и отдельному человеку, а нечестное может привести к самым печальным последствиям.
4,8(25 оценок)
Это интересно:
Новые ответы от MOGZ: Другие предметы
logo
Вход Регистрация
Что ты хочешь узнать?
Спроси Mozg
Открыть лучший ответ