М
Молодежь
К
Компьютеры-и-электроника
Д
Дом-и-сад
С
Стиль-и-уход-за-собой
П
Праздники-и-традиции
Т
Транспорт
П
Путешествия
С
Семейная-жизнь
Ф
Философия-и-религия
Б
Без категории
М
Мир-работы
Х
Хобби-и-рукоделие
И
Искусство-и-развлечения
В
Взаимоотношения
З
Здоровье
К
Кулинария-и-гостеприимство
Ф
Финансы-и-бизнес
П
Питомцы-и-животные
О
Образование
О
Образование-и-коммуникации

Наниматели жилья, как и собственники, за самовольную перепланировку и переустройство жилых помещений несут ответственность

👇
Ответ:
BTS48
BTS48
18.08.2021

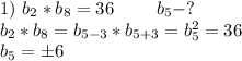
1)\ b_2*b_8=36\ \ \ \ \ \ \ b_5-? \\ b_2*b_8=b_{5-3}*b_{5+3}=b_5^2=36 \\ b_5=б6

ответ: -6; 6

 

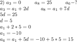
2)\ a_3=0\ \ \ \ \ \ \ \ a_8=25\ \ \ \ \ \ \ \ a_6-? \\ a_3=a_1+2d \ \ \ \ \ \ \ a_8=a_1+7d \\ 5d=25 \\ d=5 \\ a_1+2*5=0 \\ a_1=-10 \\ a_6=a_1+5d=-10+5*5=15

ответ: 15

4,8(2 оценок)
Открыть все ответы
Ответ:
zaebalovsenasvete
zaebalovsenasvete
18.08.2021
1 had been playing (Past Perfect Continuous, т.к. виден процесс в прошлом и есть указывающее слово for hours)
2 had won (Past Perfect, т.к. выиграла приз она раньше, чем стала счастливой, первая часть предложения в Past Simple)
3 had had (Past Perfect, т.к. кошмар она увидела раньше, чем стала расстроенной, первая часть предложения в Past Simple)
4 had visited (Past Perfect, т.к. замок они посетили раньше, чем стали в восторге, первая часть предложения в Past Simple)
5 had been looking (Past Perfect Continuous, т.к. виден процесс в прошлом и есть указывающее слово for an hour)
6 had been staring (Past Perfect Continuous, т.к. виден процесс в прошлом и есть указывающее слово for quite some time)
4,8(35 оценок)
Ответ:
Кама29102007
Кама29102007
18.08.2021

пермского края имеет многоотраслевую структуру. отраслями специализации промышленности являются топливно-энергетический комплекс, промышленность, машиностроение, лесная, пищевая промышленность и др. района находится в ведении порный край россии министерства промышленности[1], предпринимательства и торговли, министерства информационного развития и связи, министерства природных ресурсов, лесного хозяйства и экологии, министерства развития пермского края и др. министерств и ведомств края.

опорный край россии поэтому что, ведущий по производству

4,4(67 оценок)
Это интересно:
Новые ответы от MOGZ: Другие предметы
logo
Вход Регистрация
Что ты хочешь узнать?
Спроси Mozg
Открыть лучший ответ