М
Молодежь
К
Компьютеры-и-электроника
Д
Дом-и-сад
С
Стиль-и-уход-за-собой
П
Праздники-и-традиции
Т
Транспорт
П
Путешествия
С
Семейная-жизнь
Ф
Философия-и-религия
Б
Без категории
М
Мир-работы
Х
Хобби-и-рукоделие
И
Искусство-и-развлечения
В
Взаимоотношения
З
Здоровье
К
Кулинария-и-гостеприимство
Ф
Финансы-и-бизнес
П
Питомцы-и-животные
О
Образование
О
Образование-и-коммуникации
chackandrew
chackandrew
02.04.2022 18:37 •  Другие предметы

Передача и прием знаков, сигналов, письменного текста, голосовой информации, звуков, изображений по радиосистеме, проводной

👇
Ответ:
ZhannaMeer
ZhannaMeer
02.04.2022
Пусть x км/ч - начальная скорость поезда.

Тогда:
720/x ч - время, за которое поезд проехал бы 720 км без увеличения скорости.
x + 10 км/ч - скорость поезда после её увеличения.
720 / (x + 10) ч - время, за которое поезд проехал  720 км после увеличения скорости.

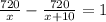
 \frac{720}{x} - \frac{720}{x+10} =1 - время, которое сократил поезд увеличив скорость.

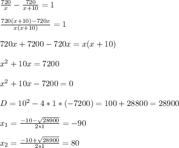
 \frac{720}{x} - \frac{720}{x+10} =1 \\ \\ \frac{720(x+10)-720x}{x(x+10)} =1 \\ \\ 720x+7200-720x=x(x+10) \\ \\ x^{2} +10x=7200 \\ \\ x^{2} +10x-7200=0 \\ \\ D=10^2-4*1*(-7200)=100+28800=28900 \\ \\ x_1= \frac{-10- \sqrt{28900} }{2*1} =-90 \\ \\ x_2=\frac{-10+ \sqrt{28900} }{2*1} =80

Первый корень не подходит, т.к. скорость не м.б. отрицательной. Решением будет только второй корень: x = 80 км/ч

Проверка.
720 км : 80 км/ч = 9 ч
720 км : (80 + 10) км/ч = 8 ч
9 ч - 8 ч = 1 ч

ответ: 80 км/ч
4,5(45 оценок)
Открыть все ответы
Ответ:
McGohanskii
McGohanskii
02.04.2022
У нас богатая и очень разная природа. С бескрайними плодородными полями, с пшеничными степями, с дремучими пышными лесами. Особенный край. Ни в одном уголке мира больше не найти такое изобилие ландшафтов. От глубочайших озер и длинных извилистых пещер, до девственных высокогорных рощ и неприступных вершин. Весной, выезжая загород, душа словно просыпается, отряхивается от снега и поет вместе прилетающими с зимовки птицами. Наполняются реки, одеваются леса. Прорастают семена, служащие кормом всему нашему краю. Я очень люблю эту природу. Милее просто не может быть
4,5(12 оценок)
Ответ:
anna666666666666
anna666666666666
02.04.2022
У нас богатая и очень разная природа. С бескрайними плодородными полями, с пшеничными степями, с дремучими пышными лесами. Особенный край. Ни в одном уголке мира больше не найти такое изобилие ландшафтов. От глубочайших озер и длинных извилистых пещер, до девственных высокогорных рощ и неприступных вершин. Весной, выезжая загород, душа словно просыпается, отряхивается от снега и поет вместе прилетающими с зимовки птицами. Наполняются реки, одеваются леса. Прорастают семена, служащие кормом всему нашему краю. Я очень люблю эту природу. Милее просто не может быть
4,5(59 оценок)
Это интересно:
Новые ответы от MOGZ: Другие предметы
logo
Вход Регистрация
Что ты хочешь узнать?
Спроси Mozg
Открыть лучший ответ