М
Молодежь
К
Компьютеры-и-электроника
Д
Дом-и-сад
С
Стиль-и-уход-за-собой
П
Праздники-и-традиции
Т
Транспорт
П
Путешествия
С
Семейная-жизнь
Ф
Философия-и-религия
Б
Без категории
М
Мир-работы
Х
Хобби-и-рукоделие
И
Искусство-и-развлечения
В
Взаимоотношения
З
Здоровье
К
Кулинария-и-гостеприимство
Ф
Финансы-и-бизнес
П
Питомцы-и-животные
О
Образование
О
Образование-и-коммуникации
seksi2505
seksi2505
01.02.2023 05:28 •  Другие предметы

_ - совокупность программно-технических средств, направленных на предоставление услуг дистанционного обучения, включая администрирование

👇
Ответ:
робингуд228
робингуд228
01.02.2023

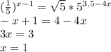
(\frac{1}{5})^{x-1}=\sqrt5*5^{3,5-4x}\\ -x+1=4-4x\\ 3x=3\\x=1

4,5(8 оценок)
Открыть все ответы
Ответ:
пматмг
пматмг
01.02.2023
Читатели понимают, что Дина по-настоящему Жилина. Без ее он не смог бы выбраться из ямы и ему угрожала бы смерть. Понимают они и то, что поступок Дины можно назвать самоотверженным, освобождение пленника ей могут не простить. Но она отвечает добром на добро, любит Жилина. И Жилин столь же искренен в своем отношении к девочке. Недаром, выбравшись из ямы, он первым делом велит ей отнести шест на место, он преисполнен благодарности к Дине и не хочет подвергать ее опасности. Рассмотрение эпизода дает возможность, таким образом, сделать вывод о том, что такое подлинная дружба.

Казалось бы, Жилин и Костылин - люди одного возраста, одного положения, национальности - могли бы быть друзьями. Но дружба невозможна там, где человек руководствуется лишь заботой о себе, не умеет считаться с другими, не хочет брать на себя ответственности. И напротив, дружба возникает между русским офицером и татарской девочкой, народы которых находятся в состоянии войны. Взрослый Жилин искренен с девочкой, видит и уважает в ней человека, сочувствует ей, готов сделать для нее добро, и Дина отвечает ему тем же. К такому построению человеческих отношений и призывает читателей Толстой. Писатель говорит о нравственной ответственности личности, верит в возможность преодоления национальных и прочих преград, если люди научатся искренне уважать друг друга, если они будут строить жизнь на том, что их роднит
4,4(10 оценок)
Ответ:
Читатели понимают, что Дина по-настоящему Жилина. Без ее он не смог бы выбраться из ямы и ему угрожала бы смерть. Понимают они и то, что поступок Дины можно назвать самоотверженным, освобождение пленника ей могут не простить. Но она отвечает добром на добро, любит Жилина. И Жилин столь же искренен в своем отношении к девочке. Недаром, выбравшись из ямы, он первым делом велит ей отнести шест на место, он преисполнен благодарности к Дине и не хочет подвергать ее опасности. Рассмотрение эпизода дает возможность, таким образом, сделать вывод о том, что такое подлинная дружба.

Казалось бы, Жилин и Костылин - люди одного возраста, одного положения, национальности - могли бы быть друзьями. Но дружба невозможна там, где человек руководствуется лишь заботой о себе, не умеет считаться с другими, не хочет брать на себя ответственности. И напротив, дружба возникает между русским офицером и татарской девочкой, народы которых находятся в состоянии войны. Взрослый Жилин искренен с девочкой, видит и уважает в ней человека, сочувствует ей, готов сделать для нее добро, и Дина отвечает ему тем же. К такому построению человеческих отношений и призывает читателей Толстой. Писатель говорит о нравственной ответственности личности, верит в возможность преодоления национальных и прочих преград, если люди научатся искренне уважать друг друга, если они будут строить жизнь на том, что их роднит
4,6(9 оценок)
Это интересно:
Новые ответы от MOGZ: Другие предметы
logo
Вход Регистрация
Что ты хочешь узнать?
Спроси Mozg
Открыть лучший ответ