М
Молодежь
К
Компьютеры-и-электроника
Д
Дом-и-сад
С
Стиль-и-уход-за-собой
П
Праздники-и-традиции
Т
Транспорт
П
Путешествия
С
Семейная-жизнь
Ф
Философия-и-религия
Б
Без категории
М
Мир-работы
Х
Хобби-и-рукоделие
И
Искусство-и-развлечения
В
Взаимоотношения
З
Здоровье
К
Кулинария-и-гостеприимство
Ф
Финансы-и-бизнес
П
Питомцы-и-животные
О
Образование
О
Образование-и-коммуникации

Верны ли утверждения? А) Судьба узкоспециализированных поселений напрямую зависит от развития градообразующей организации

👇
Ответ:
kachinlexa1999
kachinlexa1999
13.06.2020

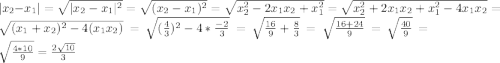
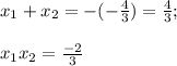
за теоремою Вієта

x_1+x_2=-(-\frac{4}{3})=\frac{4}{3};\\\\x_1x_2=\frac{-2}{3}

 

звідки

|x_2-x_1|=\sqrt{|x_2-x_1|^2}=\sqrt{(x_2-x_1)^2}=\sqrt{x^2_2-2x_1x_2+x^2_1}=\sqrt{x^2_2+2x_1x_2+x^2_1-4x_1x_2}=\sqrt{(x_1+x_2)^2-4(x_1x_2)}=\sqrt{(\frac{4}{3})^2-4*\frac{-2}{3}}=\sqrt{\frac{16}{9}+\frac{8}{3}}=\sqrt{\frac{16+24}{9}}=\sqrt{\frac{40}{9}}=\sqrt{\frac{4*10}{9}}=\frac{2\sqrt{10}}{3}

4,5(34 оценок)
Открыть все ответы
Ответ:
16653
16653
13.06.2020

Виды разрешенного использования земельных участков определяются в соответствии с классификатором, утвержденным федеральным органом исполнительной власти, осуществляющим функции по выработке государственной политики и нормативно-правовому регулированию в сфере земельных отношений.

Поскольку благоустройство территории не подпадает ни под один из определенных действующим законодательством видов разрешенного использования земельных участков, арбитражные суды пришли к обоснованному выводу о том, что спорный договор аренды заключен между ответчиками с нарушением требований закона, в связи с чем правильно признали данный договор недействительным в силу ничтожности.

ВНИМАНИЕ!

4,4(77 оценок)
Ответ:
зулейха4
зулейха4
13.06.2020
1492 г. — Христофор Колумб — открытие Южной и Центральной Америки
1519-1522 гг. – Фернан Магеллан — первое известное кругосветное путешествие. Открыл пролив, позже названный его именем, став первым европейцем, проследовавшим по морю из Атлантического океана в Тихий.
1487-1488 гг. — Бартоломеу Диаш – первым из европейцев обогнул Африку с юга, открыл мыс Доброй Надежды и вышел в Индийский океан.
1497-1499 гг. — Васко да Гама – открыл морской путь из Европы в Индию.
1500 г. — Педру Кабрал — открыл Бразилию.
1497, 1498 гг. — Джон Кабот – впервые исследовал побережье Канады.
1642-1643, 1644 гг. — Абель Тасман — открыл Новую Зеландию, архипелаги Фиджи и Бисмарка.
1534, 1535-1536 гг. — Жак Картье — положил начало французской колонизации Северной Америки
4,6(72 оценок)
Это интересно:
Новые ответы от MOGZ: Другие предметы
logo
Вход Регистрация
Что ты хочешь узнать?
Спроси Mozg
Открыть лучший ответ