М
Молодежь
К
Компьютеры-и-электроника
Д
Дом-и-сад
С
Стиль-и-уход-за-собой
П
Праздники-и-традиции
Т
Транспорт
П
Путешествия
С
Семейная-жизнь
Ф
Философия-и-религия
Б
Без категории
М
Мир-работы
Х
Хобби-и-рукоделие
И
Искусство-и-развлечения
В
Взаимоотношения
З
Здоровье
К
Кулинария-и-гостеприимство
Ф
Финансы-и-бизнес
П
Питомцы-и-животные
О
Образование
О
Образование-и-коммуникации

Занятия с детьми _ можно проводить в форме соревнований («Кто лучше расскажет об игрушке») или в форме сочинения и отгадывания

👇
Ответ:
alena13gerda
alena13gerda
13.10.2021
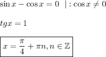
tgx-\sin x=1-tgx\sin x~~|\cdot \cos x\ne 0\\ \\ \sin x-\sin x\cos x=\cos x-\sin^2x\\ \\ \sin x(1+\sin x)-\cos x(1+\sin x)=0\\ \\ (1+\sin x)(\sin x-\cos x)=0

Произведение равно нулю, если хотя бы один из множителей равен нулю

1+\sin x=0\\ \\ \sin x=-1

x=- \frac{\pi}{2}+2 \pi k,k \in \mathbb{Z} - посторонний корень.

\sin x-\cos x=0~~|:\cos x\ne0\\ \\ tgx=1\\ \\ \boxed{x= \frac{\pi}{4}+ \pi n,n \in \mathbb{Z} }
4,7(21 оценок)
Открыть все ответы
Ответ:
Boom111111111111
Boom111111111111
13.10.2021

Объяснение:

1.)Анын "Бөбөккө"ыры өзунун ,чарчап калган кызынын куйутунө тетеп жазылган.

2.)Жаштайынан жалгыздыктын жабырын тарткан Алыкул ,кыздуу болгондо жанынан чыкпайт.Бирок кубанычы көп созулбай ,кызы Жыпар он беш гана кун жашап каза болот.

3.)Алыкул Осмнов өпкөнун кургак учук оорусуна кабылып, ошол кездеги медицинанын алы жетпеген кургак учук оорусуна абасы,жели,суусу,куму шыпаа болор бекен деп Ысык-Көлгө тез -тез барып турган жана эң мыкты чыгармаларын да көл жээгинде жараткан.

4.)Осмонов Ысык-Көлдүн жээгинде өмүрүнун көбун өткөрүү менен кыргыз жеринин бул кооз бермети тууралуу ондогон ырларын жазды.Алар:"Тан атарда көл бети","Ысык-Көл"."Кыргыз көлу","Ысык-Көл -Нева суунун сүйгөн жары","Көлумө"."Ысык -Көлдө төрт мезгил","Көл да,кайра басылат","Жаныбарым, Ысык-Көл","Көл ата","Мен көлүмө келгенде","Көлдун кечки көрүнүшү","Чолпон -Ата" ж.б.

4,8(63 оценок)
Ответ:
666deadlyshadow666
666deadlyshadow666
13.10.2021

Причины, по которым педаль тормоза становится жесткой:

1. Засор в воздушном фильтре вакуумного усилителя. Лечится заменой воздушного фильтра;

2. Заедание корпуса клапана в вакуумном усилителе. Необходимо заменить вакуумный усилитель;

3. Повреждена диафрагма вакуумного усилителя. Решается посредством замены вакуумного усилителя;

4. Неисправный наконечник вакуумного усилителя. Следует произвести замену наконечника;

5. Заедание или несрабатывание обратного клапана в вакуумном усилителе. Чтобы устранить, необходимо произвести замену обратного клапана;

6. Неисправен обратный клапан вакуумного усилителя или нарушена герметичность, вследствие чего в камеру вакуумного усилителя поступает топливо. Следует заменить вакуумный усилитель с обратным клапаном; ну и также поврежден шланг, который соединяет вакуумный усилитель и впускной коллектор, или ослаблено на штуцере крепление шланга.

4,7(95 оценок)
Это интересно:
Новые ответы от MOGZ: Другие предметы
logo
Вход Регистрация
Что ты хочешь узнать?
Спроси Mozg
Открыть лучший ответ