М
Молодежь
К
Компьютеры-и-электроника
Д
Дом-и-сад
С
Стиль-и-уход-за-собой
П
Праздники-и-традиции
Т
Транспорт
П
Путешествия
С
Семейная-жизнь
Ф
Философия-и-религия
Б
Без категории
М
Мир-работы
Х
Хобби-и-рукоделие
И
Искусство-и-развлечения
В
Взаимоотношения
З
Здоровье
К
Кулинария-и-гостеприимство
Ф
Финансы-и-бизнес
П
Питомцы-и-животные
О
Образование
О
Образование-и-коммуникации
alinakat98
alinakat98
06.04.2022 10:56 •  Другие предметы

Верны ли утверждения? А) Между объектами интеллектуальной собственности не существует системной связи

👇
Ответ:
aleksport1p0ck6i
aleksport1p0ck6i
06.04.2022

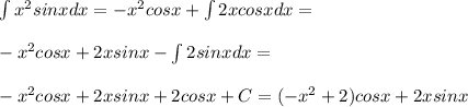
\int x^2sinx dx = -x^2cosx + \int 2xcosx dx =\\\\ -x^2cosx + 2xsinx - \int 2sinx dx =\\\\ -x^2cosx + 2xsinx + 2cosx + C = (-x^2+2)cosx + 2xsinx

4,4(97 оценок)
Открыть все ответы
Ответ:
Ларейн2772
Ларейн2772
06.04.2022

В г. Кронштадте (Санкт-Петербург)

Объяснение:

Таким храмом является Морской Никольский собор, расположенный в г. Кронштадте (в настоящее время находится в черте Санкт-Петербурга). Собор одновременно является и музеем. Внутри собора - чёрные и белые мраморные доски. Чёрные расположены в самом храме, а белые - в его алтарной части. На чёрных досках выбиты фамилии морских офицеров, погибших в боях за Родину, а на белых - имена священников, которые служили на кораблях и погибли в море вместе с командой корабля.

4,5(98 оценок)
Ответ:
Куйтвой
Куйтвой
06.04.2022

Объяснение:

22 июня 1941 года для всего Советского Союза началась кровопролитная война. Уже 8 сентября 1941 года немцы взяли в блокаду город Ленинград. Студентка медицинского института Надежда Васильевна Куликова, родившаяся 21 августа 1924 года, жила в то время в Ленинграде с матерью и младшими братом и сестрой, отец был на фронте, где и погиб во время войны.

Голод начался уже через несколько дней после становления блокады. За три месяца суточные нормы хлеба, выдававшегося по карточкам, понизились до роковой отметки 125 грамм на человека. Рабочих в семье не было, и Надежда пыталась прокормить дорогих ей людей, как могла.

Учиться было очень тяжело. Утром нужно было идти до института пешком, несмотря на голод, холод и постоянные бомбежки. Она быстро привыкла к сиренам, оповещавшим город об очередной воздушной атаке. Из-за частых бомбежек студенты иногда на несколько часов опаздывали на учебу. Особенно тяжелой зимой 1941-го приходилось пробираться среди сугробов и трупов людей, умерших от голода. По окончании всех уроков, проходивших в ледяных аудиториях, лишенных, как и все дома, и отопления, и электричества, и воды, студентка отправлялась в госпиталь, где работала сестрой милосердия. Она нередко заступала на дежурства на крыше, откуда скидывала на землю «фугаски» – фугасные авиабомбы, которые сбрасывали на город фашистские самолеты. Если не успеть сделать это вовремя, все здание может сгореть. Работа была нелегкой, ведь приходилось работать в условиях бомбежки. Только скинешь одну фугасную бомбу – на другой конец крыши падают еще две. Так и приходилось бегать, превозмогая боль, усталость и изнеможение.

К счастью, благодарные солдаты, которых Надежде удавалось вылечить, делились с ней своим хлебом. Только благодаря этим подаркам она смогла выжить сама и кое-как прокормить брата и сестру, которые были иждивенцами. Мать же старалась прокормить себя самостоятельно.

Летом, когда жизнь блокадного города слегка улучшилась, маленькая семья решила устроить себе праздник: отметить день рождения Надежды. Тщательно порывшись по сестры и мать нашли картофельные очистки и на олифе приготовили торт. «Никогда в жизни не ела ничего вкуснее», – говорила именинница.

Позже она не любила вспоминать об этих трагических днях, пережитых в юности. О своей жизни Надежда Васильевна практически не рассказывала, но этого и не требовалось: судьбы всех жителей блокадного Ленинграда были похожи.

Всю блокаду, с 8 сентября 1941-го и до 27 января 1944-го, Надежда прожила в Ленинграде, с трудом заботясь о своей семье. Год снятия блокады был последним в её обучении в медицинском институте. Итоговые экзамены перенесли на зиму, и уже в феврале 1944 года всем студентам-выпускникам предложили выбрать место, куда можно уехать на практику. Надежда не могла взять с собой мать, брата и сестру, но сама решила ехать туда, где будет мирно, тепло и много фруктов. Из предложенных вариантов, её выбор пал на Памир, который так и не смог оправдать её ожидания. Приехав на южную границу СССР, бывшая студентка разочаровалась: там были лишь голые скалы и голодуха. Так надеясь на здоровую, полноценную жизнь, она смогла питаться лишь немногим лучше, чем в блокадном городе. Зато, именно там она нашла своего будущего мужа.

4,7(55 оценок)
Это интересно:
Новые ответы от MOGZ: Другие предметы
logo
Вход Регистрация
Что ты хочешь узнать?
Спроси Mozg
Открыть лучший ответ