М
Молодежь
К
Компьютеры-и-электроника
Д
Дом-и-сад
С
Стиль-и-уход-за-собой
П
Праздники-и-традиции
Т
Транспорт
П
Путешествия
С
Семейная-жизнь
Ф
Философия-и-религия
Б
Без категории
М
Мир-работы
Х
Хобби-и-рукоделие
И
Искусство-и-развлечения
В
Взаимоотношения
З
Здоровье
К
Кулинария-и-гостеприимство
Ф
Финансы-и-бизнес
П
Питомцы-и-животные
О
Образование
О
Образование-и-коммуникации
eruder
eruder
31.08.2022 07:36 •  Другие предметы

У трьох однакових сітках 24 кг картоплі. Цибулі в одній сітці вміщується на 1 кг менше, ніж картоплі. Скільки треба взяти сіток, щоб розфасувати 35 кг цибулі?

👇
Ответ:
vingers
vingers
31.08.2022
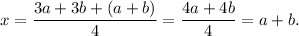
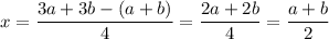
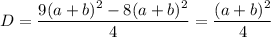
При x \neq a,\ x \neq b получим
bx-b^2+ax-a^2=2(x^2-ax-bx+ab)
bx-b^2+ax-a^2=2x^2-2ax-2bx+2ab 
(a+b)x-(a^2+b^2)=2x^2-2(a+b)x+2ab 
2x^2-3(a+b)x+(a^2+b^2+2ab)=0 
2x^2-3(a+b)x+(a+b)^2=0
D=\dfrac{9(a+b)^2-8(a+b)^2}{4}=\dfrac{(a+b)^2}{4}
x=\dfrac{3(a+b)\pm |a+b|}{4}
Если a+b<0, то x=\dfrac{3a+3b-(a+b)}{4}=\dfrac{2a+2b}{4}=\dfrac{a+b}{2}
Если a+b \geq 0,  то x=\dfrac{3a+3b+(a+b)}{4}=\dfrac{4a+4b}{4}=a+b.
4,6(25 оценок)
Открыть все ответы
Ответ:
наталя40
наталя40
31.08.2022

государственная политика в области здравоохранения проводится на основе принципов:

1) обеспечения равенства прав граждан на получение безопасной, эффективной и качественной медицинской ;

2) солидарной ответственности государства, работодателей и граждан за сохранение и укрепление индивидуального и общественного здоровья;

3) охраны материнства и детства;

4) обеспечения гарантированного объема бесплатной медицинской ;

5) приоритетности профилактической направленности в деятельности системы здравоохранения;

6) доступности медицинской ;

7) постоянного повышения качества медицинской ;

8) обеспечения санитарно-эпидемиологического благополучия населения;

9) преемственности деятельности организаций здравоохранения при оказании медицинской ;

10) обеспечения непрерывности и преемственности медицинского и фармацевтического образования с использованием современных технологий обучения;

11) государственной поддержки отечественной медицинской науки, внедрения передовых достижений науки, техники и мирового опыта в области здравоохранения;

4,6(99 оценок)
Ответ:
lermolen
lermolen
31.08.2022

из рассмотрения философских взглядов платона и аристотеля видно, что они, расходясь в определении того, что представляет собой окружающая нас действительность. у платона вещи чувственно воспринимаемого мира рассматриваются лишь как видимость, как искаженное отражение истинно сущего, у аристотеля чувственно воспринимаемая вещь рассматривается как реально существующее единство формы и материи. оба стоят на позициях объективного идеализма, так как особую, ведущую роль не материи (которая, по аристотелю, пассивна) , а идеальным субстанциям - идеям (у платона) или форме (у аристотеля) . к тому же весьма важная роль приписывается мировому разуму - богу (платон) , высшей форме (аристотель) , что дает еще одно основание для характеристики этих теорий как объективно-идеалистических.

таким образом, в заключение можно отметить, что аристотель критично относился в платоновской теории идей и критический пафос своей позиции он выразил, прежде всего, в учении о чувственной субстанции. аристотель полагал, что если идеи радикально отделены от мира вещей, как это было у платона, то они не могут быть ни причинами их существования, ни основанием для их понимания. аристотель возвращает форму в чувственный мир, как имманентное начало последнего. теория синтеза материи и формы стала, таким образом, альтернативой мира идей платона. однако, это не означает отрицания сверхчувственного мира. это просто "понижение" статуса идей, утверждение, что идеи есть не более чем умопостигаемое обрамление чувственного.

4,4(23 оценок)
Это интересно:
Новые ответы от MOGZ: Другие предметы
logo
Вход Регистрация
Что ты хочешь узнать?
Спроси Mozg
Открыть лучший ответ