М
Молодежь
К
Компьютеры-и-электроника
Д
Дом-и-сад
С
Стиль-и-уход-за-собой
П
Праздники-и-традиции
Т
Транспорт
П
Путешествия
С
Семейная-жизнь
Ф
Философия-и-религия
Б
Без категории
М
Мир-работы
Х
Хобби-и-рукоделие
И
Искусство-и-развлечения
В
Взаимоотношения
З
Здоровье
К
Кулинария-и-гостеприимство
Ф
Финансы-и-бизнес
П
Питомцы-и-животные
О
Образование
О
Образование-и-коммуникации

Із двох огірків-насінників одержують 25 г насіння. Скільки грамів насіння одержують із восьми огірків?

👇
Ответ:
leon88
leon88
04.05.2022
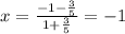
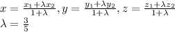
 Формулы деления отрезка в отношении \lambda:
x=\frac{x_1+\lambda x_2}{1+\lambda } ,y=\frac{y_1+\lambda y_2}{1+\lambda }, z=\frac{z_1+\lambda z_2}{1+\lambda }\\\lambda =\frac{3}{5}
Сначала делим в отношении 3/5 от точки А.
x=\frac{-1-\frac{3}{5}}{1+\frac{3}{5}}=-1 y=\frac{5-\frac{3}{5}}{1+\frac{3}{5}}=5, z=\frac{5+\frac{3}{5}3}{1+{\frac{3}{5}}}=\frac{34}{8}=\frac{17}{4}
Точка В(-1,5,17/4)
Теперь делим ,начиная от точки Р.
x=\frac{-1-\frac{3}{5}}{1+\frac{3}{5}}=-1, y=\frac{-1+3}{1+\frac{3}{5}}=\frac{5}{4}, z=\frac{3+3}{1+\frac{3}{5}}=\frac{15}{4}
Точка С(-1,5/4,15/4)
4,7(52 оценок)
Открыть все ответы
Ответ:
12poli
12poli
04.05.2022

Начав эксплуатацию месторождений нефти и газа, человек не задумывался о последствиях интенсивной добычи этих природных ресурсов. Большую опасность таит в себе использование нефти и газа в качестве топлива. При сгорании этих продуктов в атмосфере выделяются в больших количествах углекислый газ, различные сернистые соединения, оксид азота и т.д. Уменьшение количества кислорода и рост содержания углекислого газа, в свою очередь, будут влиять на изменение климата. Молекулы диоксида углерода позволяют солнечному коротковолновому излучению проникат задерживают инфракрасное излучение, испускаемое земной поверхностью. Загрязнение атмосферы таит в себе и другую опасность ? оно снижает количество солнечной радиации, достигающей поверхности Земли.

Большая роль в загрязнении атмосферы принадлежит реактивным самолётам, машинам. Чтобы пересечь Атлантический океан, современный реактивный лайнер поглощает 35 т кислорода и оставляет инверсионные следы, увеличивающие облачность. Значительно загрязняют атмосферу и автомашины, которых уже сейчас насчитываются более 500 млн. Появляются различные проекты создания двигателей, работающих на других видах топлива. Немалый вклад в отравление атмосферы вносят различные заводы, тепло- и электростанции. Средней мощности электростанция, работающая на мазуте, выбрасывает ежесуточно в окружающую среду 500 т серы в виде сернистого ангидрида, который, соединяясь с водой, тотчас же даст сернистую кислоту, которая выпадает в виде кислотных дождей, обладающих большой химической активностью. Загрязнение атмосферы различными вредными газами и твёрдыми частицами приводит к тому, что воздух крупных городов становится опасным для жизни людей. Особую опасность представляют смертоносные туманы, опускающиеся на крупные города.

Безрассудно загрязняет человек и водные бассейны планеты. Ежегодно в Мировой океан по тем или иным причинам сбрасывается от 2 до 10 млн. т нефти. Аэрофотосъёмкой со спутников зафиксировано, что уже почти 30% поверхности океана покрыто нефтяной плёнкой. Особенно загрязнены воды Средиземного моря, Атлантического океана и их берега.

Литр нефти лишает кислорода 40 тыс. л морской воды. Тонна нефти загрязняет 12 кв. км поверхности океана. При концентрации её в морской воде в количестве 0,1-0,001 мл/л икринки рыб погибают за несколько суток. На 1 га морской поверхности может погибнуть более 100 млн. личинок рыб, если имеется нефтяная плёнка. Источников поступления нефти в моря и океаны довольно много. Это аварии танкеров и буровых платформ, сброс и очистных вод, принос загрязняющих компонентов реками.

Встаёт угрожающий вопрос: что делать с этими ?чёрными океанами?? Как их обитателей от гибели?

Шведские и английские специалисты для очистки морских вод от нефти предлагают использовать старые газеты, куски обёртки, обрезки с бумажных фабрик. Брошенные в воду и измельчённые, они впитать в себя 28-кратное количество нефти по сравнению с собственной массой. Затем топливо из них легко извлекается прессованием. Такие полоски бумаги, помещённые в большие нейлоновые ?авоськи?, предлагается использовать для сбора нефти в море на месте катастрофы танкеров. Хорошие результаты даёт применение диспергаторов ? особых веществ, связывающих нефть; обработка нефтяных плёнок железным порошком с последующим собиранием ?опилок? магнитом. Большие надежды возлагаются на биологическую защиту.

По различным причинам при добыче и транспорте ?чёрного золота? часть сырья выливается на земную поверхность и в водоёмы. Достаточно сказать, что только за 1988 г. при порывах нефтепроводов на Самотлорском месторождении в одноимённое озеро попало около 110 тыс. т нефти. Известны случаи слива мазута и сырой нефти в реку Обь (нерестилище ценных пород рыб) и другие водные артерии страны.

Одним из наиболее перспективных путей ограждения среды от загрязнения является создание комплексной автоматизации процессов добычи, транспорта и хранения нефти. Небрежное обращение с нефтью может обернуться большой бедой. Использование нефти и нефтепродуктов должно быть весьма аккуратным, продуманным и дозированным. Нефть требует к себе внимательного отношения. Это необходимо помнить не только каждому нефтянику, но и всем, кто имеет дело с продуктами нефтехимии.

Нефтяная отрасль является главной для мировой экономики. В нашей стране эта зависимость особенно высока.

4,5(61 оценок)
Ответ:
Matthew4567
Matthew4567
04.05.2022

Великая Отечественная война - это знаковое событие в мировой истории и одно из самых трагических и героических событий в истории нашей страны. Победа в этой войне была одержана народами Советского Союза над фашисткой Германией ценой жизни огромного количества людей, которые сознательно шли на самопожертвование во благо общества. Это героический пример поколения, совершившего самоотверженный подвиг во имя мира на земле и личной свободы каждого отдельно взятого человека. Они проявили непоколебимую силу человеческого духа, стойкость, мужество, сплоченность, которые сегодня для всех нас являются примером. Мы чтим их память и гордимся тем, что являемся потомками такого великого народа. Победа 1945 года должна навсегда остаться в нашей памяти и память об этом событии передаваться из поколения к поколению. Пациенты ГБУЗ СПБ №3 под руководством заведующих отделений №2 Ярош М.В, №3 Власовой Л.В. почтили память, сделав работы и выставку, посвященную Великой Отечественной Войне и ее героям.

4,6(95 оценок)
Это интересно:
Новые ответы от MOGZ: Другие предметы
logo
Вход Регистрация
Что ты хочешь узнать?
Спроси Mozg
Открыть лучший ответ