М
Молодежь
К
Компьютеры-и-электроника
Д
Дом-и-сад
С
Стиль-и-уход-за-собой
П
Праздники-и-традиции
Т
Транспорт
П
Путешествия
С
Семейная-жизнь
Ф
Философия-и-религия
Б
Без категории
М
Мир-работы
Х
Хобби-и-рукоделие
И
Искусство-и-развлечения
В
Взаимоотношения
З
Здоровье
К
Кулинария-и-гостеприимство
Ф
Финансы-и-бизнес
П
Питомцы-и-животные
О
Образование
О
Образование-и-коммуникации
weldys99
weldys99
30.03.2023 17:41 •  Другие предметы

Як обчислити кількість теплоти, що виділяється в процесі повного згоряння палива?

👇
Ответ:
KarakatitsaKrutitsa
KarakatitsaKrutitsa
30.03.2023
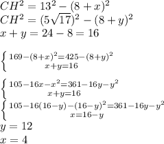
Можно двумя решить! (СМОТРИТЕ РИСУНОК)
1)Пусть  AF=x;  HD=y
   Высоты BF=CH\\
 
   Выразим их через через прямоугольные треугольники ACH            и DBF 
   CH^2=13^2-(8+x)^2\\
CH^2=(5\sqrt{17})^2-(8+y)^2\\
x+y=24-8=16\\
\\
 \left \{ {{169-(8+x)^2=425-(8+y)^2} \atop {x+y=16}} \right. \\
\\
 \left \{ {105-16x-x^2=361-16y-y^2} \atop {x+y=16}} \right. \\
 \left \{ {{105-16(16-y)-(16-y)^2=361-16y-y^2} \atop {x=16-y}} \right. \\
y=12\\
x=4\\

  Мы знаем AF  и  HD 
  Найдем высоты CH^2=13^2-(8+4)^2\\
CH^2=13^2-12^2\\
CH=5
  S=\frac{8+24}{2}*5=80

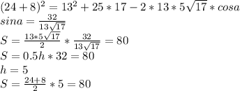
2)
Или второй Проведем  CF||BD
Теперь в треугольнике  ACF\\
   высота CH
найдем ее через площадь этого треугольника , так как стороны все даны то , найдем угол между диагоналями уже , или тем и же сторонами 
(24+8)^2=13^2+25*17-2*13*5\sqrt{17}*cosa\\
sina=\frac{32}{13\sqrt{17}}\\
S=\frac{13*5\sqrt{17}}{2}*\frac{32}{13\sqrt{17}}=80\\
S=0.5h*32=80\\
h=5\\
S=\frac{24+8}{2}*5=80

Як обчислити кількість теплоти, що виділяється в процесі повного згоряння палива?
4,5(67 оценок)
Открыть все ответы
Ответ:
юсик17
юсик17
30.03.2023
Бабушка по утрам заставляет меня есть кашу. она говорит, что каша - это лучший друг хлеба. перед тем как ты ее съешь, она долго растет, впитывая в себя всю силу родной земли, потом зерна бережно собирают и готовят из них твою кашу. когда ты ешь ее, она наполняет тебя теми силами что приняла у матушки земли. она передает в твое тело здоровый дух чистых полей и наполняет душу чистым воздухом деревень и лесных окраин. многие люди, впервые пробовавшие кашу, годков так через пятнадцать после рождения, говорят, что каша это самое вкусное, что они когда либо ели в своей жизни. и когда я подношу ложку с кашей ко рту, я закрываю глаза и представляю безграничные желто-золотые пшеничные поля, и пытаюсь всей душой поверить в чудо, и телом прочувствовать силу родной земли
4,6(43 оценок)
Ответ:
vzarina576
vzarina576
30.03.2023
Бабушка по утрам заставляет меня есть кашу. она говорит, что каша - это лучший друг хлеба. перед тем как ты ее съешь, она долго растет, впитывая в себя всю силу родной земли, потом зерна бережно собирают и готовят из них твою кашу. когда ты ешь ее, она наполняет тебя теми силами что приняла у матушки земли. она передает в твое тело здоровый дух чистых полей и наполняет душу чистым воздухом деревень и лесных окраин. многие люди, впервые пробовавшие кашу, годков так через пятнадцать после рождения, говорят, что каша это самое вкусное, что они когда либо ели в своей жизни. и когда я подношу ложку с кашей ко рту, я закрываю глаза и представляю безграничные желто-золотые пшеничные поля, и пытаюсь всей душой поверить в чудо, и телом прочувствовать силу родной земли
4,7(37 оценок)
Это интересно:
Новые ответы от MOGZ: Другие предметы
logo
Вход Регистрация
Что ты хочешь узнать?
Спроси Mozg
Открыть лучший ответ