М
Молодежь
К
Компьютеры-и-электроника
Д
Дом-и-сад
С
Стиль-и-уход-за-собой
П
Праздники-и-традиции
Т
Транспорт
П
Путешествия
С
Семейная-жизнь
Ф
Философия-и-религия
Б
Без категории
М
Мир-работы
Х
Хобби-и-рукоделие
И
Искусство-и-развлечения
В
Взаимоотношения
З
Здоровье
К
Кулинария-и-гостеприимство
Ф
Финансы-и-бизнес
П
Питомцы-и-животные
О
Образование
О
Образование-и-коммуникации

Все ли кристаллические тела анизотропны

👇
Ответ:
5777Гусь111
5777Гусь111
02.04.2020
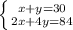
Пусть гусей х голов,а поросят y. Тогда у гусей 2х ног, а у поросят 4y.
Всего голов  x+y=30
Всего ног 2x+4y=84
Получили систему уравнений \left \{ {{x+y=30} \atop {2x+4y=84}} \right.
 \left \{ {{-2x-2y=-60} \atop {2x+4y=84}} \right.
 \left \{ {{2y=24} \atop {x+y=30}} \right.
 \left \{ {{y=12} \atop {x+y=30}} \right.
 \left \{ {{y=12} \atop {x=18}} \right.
 Гусей 18, поросят 12
4,4(37 оценок)
Открыть все ответы
Ответ:
михаил303
михаил303
02.04.2020

ответ: ISROF

Insonlarga shuncha ne’matlarni ato etib qo‘ygan Alloh taolo ularni bu ne’matlardan oqilona foydalanishga, tejab-tergab ishlatishga, aslo isrofga yo‘l qo‘ymaslikka chaqiradi.. Isrofgarchilikning barcha ko‘rinishlariga barham berish ar bir fuqaroning vazifasidir.

IQTISODIYOT

1.Kishilar tomonidan mehnatni qoʻllagan holda inson uchun zaruriy boʻlgan neʼmatlar, hayot sharoitlari va vositalarini yaratish orqali tirikchilikni taʼminlash, ehtiyojlarni qondirishda foydalaniladigan xoʻjalik vositalar, obyektlar, jarayonlar majmui. Ishlab chiqarish, ayriboshlash, taqsimot, isteʼmol sohasidagi ijtimoiy munosabatlarni qamraydi;

2.Muayyan mamlakatning milliy xalq xoʻjaligi yoki uning bir tarmogʻi (transport iqtisodiyoti, qishloq xoʻjaligi iqtisodiyoti va boshqalar);

3.Xoʻjalikning u yoki bu tarmogʻini, mintaqa xoʻjaligini, ishlab chiqarishni tashkil etish usullari va shakllarini, shuningdek, ishlab chiqarishni boshqarishni oʻrganadigan iqtisodiyot fanlari (sanoat iqtisodiyoti, savdo iqtisodiyoti va boshqalar).

Объяснение:

4,5(11 оценок)
Ответ:
bebe13
bebe13
02.04.2020
В небольшой рыбацкой деревне Каперне живет старый моряк Лонгрен с дочкой Ассоль. Мать девочки умерла, когда малышка только родилась. Однажды Ассоль играла корабликом с алыми парусами у лесного ручья. Там она встретила старика Эгля. Старик пообещал девочке, что настанет день, и настоящее судно с алыми парусами приплывет к ней. С корабля спустится прекрасный принц и увезет Ассоль в страну розовых грез. Девочка поверила в эту историю. Ассоль стала каждый день приходить на берег и ждать парусник, несмотря на все насмешки соседей несколько лет, и наследник богатой семьи капитан Артур Грэй случайно увидел спящую Ассоль и влюбился. Позже Грэй узнал про историю о принце и алых парусах. Грэй заказал новые алые паруса для судна, нанял музыкантов и приплыл на корабле к Ассоль. На глазах изумленных жителей деревни Грэй забрал девушку с собой.
4,6(19 оценок)
Это интересно:
Новые ответы от MOGZ: Другие предметы
logo
Вход Регистрация
Что ты хочешь узнать?
Спроси Mozg
Открыть лучший ответ