М
Молодежь
К
Компьютеры-и-электроника
Д
Дом-и-сад
С
Стиль-и-уход-за-собой
П
Праздники-и-традиции
Т
Транспорт
П
Путешествия
С
Семейная-жизнь
Ф
Философия-и-религия
Б
Без категории
М
Мир-работы
Х
Хобби-и-рукоделие
И
Искусство-и-развлечения
В
Взаимоотношения
З
Здоровье
К
Кулинария-и-гостеприимство
Ф
Финансы-и-бизнес
П
Питомцы-и-животные
О
Образование
О
Образование-и-коммуникации
sooova123
sooova123
12.03.2021 14:13 •  Другие предметы

Какова была роль купцов Строгановых в завоевании Россией Сибирского ханства

👇
Ответ:
Bon2000
Bon2000
12.03.2021
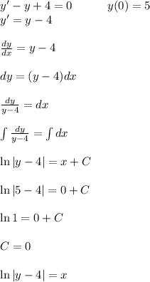
y'-y+4=0\ \ \ \ \ \ \ \ \ y(0)=5 \\ y'=y-4 \\ \\ \frac{dy}{dx}=y-4 \\ \\ dy=(y-4)dx \\ \\ \frac{dy}{y-4}=dx \\ \\ \int \frac{dy}{y-4}=\int dx \\ \\ \ln|y-4|=x+C \\ \\ \ln|5-4|=0+C \\ \\ \ln1=0+C \\ \\ C=0 \\ \\ \ln|y-4|=x
4,5(71 оценок)
Открыть все ответы
Ответ:
пецааааа1
пецааааа1
12.03.2021
1. they were watching "doctor who" when i came there. они смотрели "доктора кто", когда я пришла туда. 2. she was reading a  fashion magazine when john called her. она читала модный журнал, когда джон позвонил ей. 3. i was sleeping when you called me. я спала, когда ты мне звонил.или вот другой вариант ответа: 1. i was crying./ я плакал. i wasn't crying./ я не плакал. was i crying? / плакал ли я? 2.i was dancing./ я танцевал. i wasn't dancing./ я не танцевал. was i dancing? / танцевал ли я? 3.i was working./ я работал. i wasn't working./ я не работал. was i working? / работал ли я?
4,8(63 оценок)
Ответ:
mysya4
mysya4
12.03.2021

ответ:

джордж вашингтон (1732-1799) – американский государственный и политический деятель, первый президент сша, который был избран народом. является одним из отцов-основателей сша (так называют группу американских политиков, которые сыграли важную роль в основании, становлении, достижении независимости государства). в войне за независимость командовал континентальной армией. создал американский институт президентства. его имя в америке носят столица, штат, гора, каньон, остров, озеро, многочисленные улицы и площади, университеты и колледжи.

4,7(33 оценок)
Новые ответы от MOGZ: Другие предметы
logo
Вход Регистрация
Что ты хочешь узнать?
Спроси Mozg
Открыть лучший ответ