М
Молодежь
К
Компьютеры-и-электроника
Д
Дом-и-сад
С
Стиль-и-уход-за-собой
П
Праздники-и-традиции
Т
Транспорт
П
Путешествия
С
Семейная-жизнь
Ф
Философия-и-религия
Б
Без категории
М
Мир-работы
Х
Хобби-и-рукоделие
И
Искусство-и-развлечения
В
Взаимоотношения
З
Здоровье
К
Кулинария-и-гостеприимство
Ф
Финансы-и-бизнес
П
Питомцы-и-животные
О
Образование
О
Образование-и-коммуникации

На какие группы делятся дорожные знаки?

👇
Ответ:
sonechkapolukh
sonechkapolukh
27.05.2020
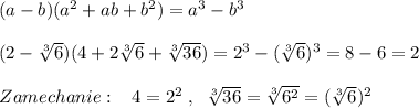
  (a-b)(a^2+ab+b^2)=a^3-b^3\\\\(2-\sqrt[3]6)(4+2\sqrt[3]6+\sqrt[3]{36})=2^3-(\sqrt[3]6)^3=8-6=2\\\\Zamechanie:\; \; \; 4=2^2\; ,\; \; \sqrt[3]{36}=\sqrt[3]{6^2}=(\sqrt[3]{6})^2
4,4(90 оценок)
Открыть все ответы
Ответ:
Lizikjung
Lizikjung
27.05.2020
1.Твердость обеспечивают минеральные вещества, упругость (прочность на излом) - органические.
2. Эластичность хряща обеспечивает подвижность суставов.
3.Мышцы к костям прикрепляются с сухожилий, которыми заканчиваются фасции, покрывающие мышцы снаружи.
4.Подвижность скелета обеспечивают соединения костей, суставы.
5.В детстве и юности кости людей растут в длину и толщину. Формирование скелетазаканчивается к 22-25 годам. Рост кости в толщину связан с тем, что клетки внутренней поверхности надкостницы делятся.
6.ну а это не знаю
4,5(10 оценок)
Ответ:
mazaso
mazaso
27.05.2020
Дружбе мешают взаимные обиды, очень часто обиды не высказанные, зависть друг к другу, элементарное не понимание друг друга. Например, один из друзей выскочил на другого с диким криком из тёмного угла. Он хотел только пошутить, он знал, что если бы над ним так пошутили, он вначале бы испугался, но потом искренне посмеялся бы шутке. Но второй друг шутки не понял и обиделся. В данном случае нет виноватых, просто бывшие друзья, оказывается, «говорили на разных языках» и им не стоит дружить, но и враждовать тоже не следует. Примеров зависти огромное количество. Одному из друзей родители купили дорогой телефон. Второй попросил его поиграть раз, потому другой, получил, но всё же обиделся, что у него такого нет и в итоге друзья поссорились. Поссорились они по другому поводу, но причина была в этом. Различных примеров так же много, как и человеческих судеб.
4,4(12 оценок)
Это интересно:
Новые ответы от MOGZ: Другие предметы
logo
Вход Регистрация
Что ты хочешь узнать?
Спроси Mozg
Открыть лучший ответ