М
Молодежь
К
Компьютеры-и-электроника
Д
Дом-и-сад
С
Стиль-и-уход-за-собой
П
Праздники-и-традиции
Т
Транспорт
П
Путешествия
С
Семейная-жизнь
Ф
Философия-и-религия
Б
Без категории
М
Мир-работы
Х
Хобби-и-рукоделие
И
Искусство-и-развлечения
В
Взаимоотношения
З
Здоровье
К
Кулинария-и-гостеприимство
Ф
Финансы-и-бизнес
П
Питомцы-и-животные
О
Образование
О
Образование-и-коммуникации
Fjk123cg
Fjk123cg
04.05.2021 17:47 •  Другие предметы

Выберите предложения, в которых рассказывается о Берлине: Das Brandenburger Tor und die Quadriga waren mehrmals stark besch?digt und

👇
Ответ:
f2a5p4
f2a5p4
04.05.2021

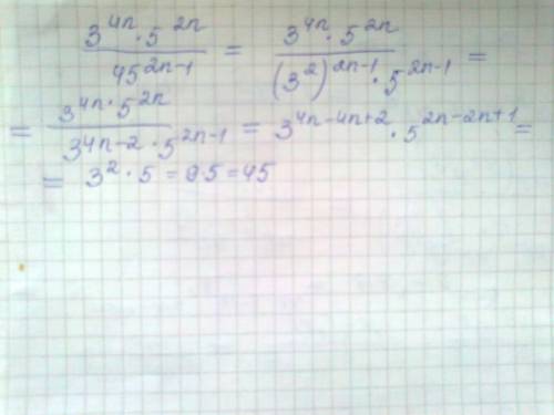
3^4n * 5^2n : 45^(2n-1)=9^2n* 5^2n : 45^(2n-1)=(9*5)^2n: 45^(2n-1)=

=45^(2n-(2n-1))=45

4,4(97 оценок)
Ответ:
PonyLove11
PonyLove11
04.05.2021

ответ должен сойтись=)

по крайней мере у меня ответ получился хороший, несложный-ни дробей, ни десятичная дробь. 


Выберите предложения, в которых рассказывается о Берлине: Das Brandenburger Tor und die Quadriga war
4,4(37 оценок)
Открыть все ответы
Ответ:
Jfjdhdhhdjdxjxh1111
Jfjdhdhhdjdxjxh1111
04.05.2021
ПирогИ -  печёные изделия из теста, обычно с начинкой, которые выпекаются или жарятся.
ПирОги — индейские лодки, состоящие из узкого деревянного каркаса, обтянутого снаружи корой деревьев (сшитой корнями и просмоленной в швах) или шкурами животных. Также пирогой называют лодку, выдолбленную или выжженную из цельного древесного ствола
Ошибка художника вызвана тем, что неверно в слове поставлено ударение, смысл слова изменился. На рисунке должны быть изображены индейские лодки - пироги.
Бабушка печёт вкусные пироги. По реке плыли пироги, в которых находились индейцы.
4,7(8 оценок)
Ответ:
katastep4
katastep4
04.05.2021
It was early morning. Mike and Ben were playing football in the yard, when accidentally ball broken window in the garret. The boys immediately ran into the house and went up. They were scared, because the house was new and they knew that their parent wouldn’t be happy when they found out about the accident. In the garret, they found the ball in box with a lot of papers. Mike took one of them. “It is a treasure map!” – he exclaimed happily. “Really? Let me see!” – Ben answered. It turned out that the treasure was somewhere in the garden. They started looking for it. After a few hours, they finally found it under the tree. The boys were anxious in anticipation of gold coins. When they opened the box, they found old toys and staff of somebody else. “Well, that’s also the treasure” – said Ben sadly.

Было раннее утро. Майк и Бен играли в футбол во дворе, когда случайно мяч разбил окно на чердаке. Мальчики тут же ворвались в дом и поднялись. Они испугались, потому что дом был новым, и они знали, что их родители не будут счастливы, узнав об инциденте. На чердаке они нашли мяч в коробке с большим количеством бумаг. Майк взял одну из них. «Это карта сокровищ!» - радостно воскликнул он. "В самом деле? Позвольте мне посмотреть!»- ответил Бен. Оказалось, что сокровище было где-то в саду. Они начали искать его. Через несколько часов они наконец нашли его под деревом. Мальчики были встревожены в ожидании золотых монет. Когда они открыли коробку, они нашли старые игрушки и вещи кого-то еще. «Ну, это тоже сокровище», - сказал Бен грустно.
4,8(12 оценок)
Новые ответы от MOGZ: Другие предметы
logo
Вход Регистрация
Что ты хочешь узнать?
Спроси Mozg
Открыть лучший ответ