М
Молодежь
К
Компьютеры-и-электроника
Д
Дом-и-сад
С
Стиль-и-уход-за-собой
П
Праздники-и-традиции
Т
Транспорт
П
Путешествия
С
Семейная-жизнь
Ф
Философия-и-религия
Б
Без категории
М
Мир-работы
Х
Хобби-и-рукоделие
И
Искусство-и-развлечения
В
Взаимоотношения
З
Здоровье
К
Кулинария-и-гостеприимство
Ф
Финансы-и-бизнес
П
Питомцы-и-животные
О
Образование
О
Образование-и-коммуникации

Образование _ было связано с тем, что свойства причастия стали переноситься на отглагольное существительное, и оно, подобно причастию, получило

👇
Ответ:
anavidyan920
anavidyan920
07.09.2022

файл

======================= 


Образование _ было связано с тем, что свойства причастия стали переноситься на отглагольное существи
4,7(38 оценок)
Ответ:
lapshinauly
lapshinauly
07.09.2022

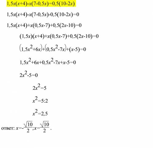
1,5x(x+4)-x(7-0.5x)=0.5(10-2x)

1.5х^2+6x-7x+0,5x^2=5-1x

  1.5х^2+6x-7x+0,5x^2-5+1x=0

2x^2-5=0

2x^2=5

x^2=2,5 

x=-корен 10/2 

x= +корен 10/2

 

4,5(99 оценок)
Открыть все ответы
Ответ:

"Композиция", "сюжет" - әдеби терминдердің ең көп қолданылатыны және сонымен бірге олардың мазмұны бойынша ең аз анықталғандардың бірі. Әр түрлі сыни, әдеби және әдістемелік еңбектердің авторлары кейде әртүрлі мазмұнға ие болады және, әрине, бұл теориялық шатасушылық мектепте әдебиетті оқытуды қиындатады. Ереже бойынша, композиция сұрақтары бойынша жазушылардың барлығы "композиция" деп шығарманың "құрылысы" деп түсіну керек, бірақ осы және басқа тұжырымдамаға қандай мазмұн салу керек-бұл сұраққа біздің әдебиеттануымыз әлі толық жауап берген жоқ.Сонымен, "композиция" және "сюжет"сияқты ұғымдардың арақатынасы туралы ғылым үшін әлі де қажетті түсінік жоқ.

Объяснение:

4,7(95 оценок)
Ответ:
ayatyusubova1
ayatyusubova1
07.09.2022

Рим əскери қызметінде жүрген көрші тайпалар əскербасыларының тақ үшін күресі шиеленісті. Сол тұста Рим көрші халықтардың шапқыншылық жорықтарынан қатты күйзелді. Əсіресе, Африкада қоныс тепкен германдардың вандал тайпасының шабуылдары қатты соққы болып тиді. Батыс Рим империясы билеушілерінің ішкі қырқыстарын жақсы пайдалана білген вандалдар 455 жылы Римді алады. Қаланы аяусыз тонап, қиратып, өртейді. Халқын қырып-жояды, мыңдаған адамдарын құлдыққа айдап алып кетеді. Ешбір көңілге қонбайтын осы ойрандаушылық "вандализм" деген сөзбі қалыптастырды. Вандалдардың талқауынан соң "мəңгі қала" атанған Рим қираған үйіндіге айналады.

4,6(93 оценок)
Это интересно:
Новые ответы от MOGZ: Другие предметы
logo
Вход Регистрация
Что ты хочешь узнать?
Спроси Mozg
Открыть лучший ответ