М
Молодежь
К
Компьютеры-и-электроника
Д
Дом-и-сад
С
Стиль-и-уход-за-собой
П
Праздники-и-традиции
Т
Транспорт
П
Путешествия
С
Семейная-жизнь
Ф
Философия-и-религия
Б
Без категории
М
Мир-работы
Х
Хобби-и-рукоделие
И
Искусство-и-развлечения
В
Взаимоотношения
З
Здоровье
К
Кулинария-и-гостеприимство
Ф
Финансы-и-бизнес
П
Питомцы-и-животные
О
Образование
О
Образование-и-коммуникации
Sanshooos
Sanshooos
13.10.2022 10:56 •  Другие предметы

Личные не­иму­ще­ствен­ные права воз­ни­ка­ют по по­во­ду нематериальных благ. К не­ма­те­ри­аль­ным благам относят

👇
Ответ:
kublahan
kublahan
13.10.2022
Я подозреваю, что имелось ввиду, решить неопределённый интеграл

решаеться методом разделения
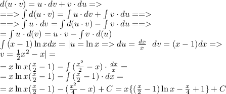
d(u\cdot v)=u\cdot dv+v\cdot du=\\
== \int{d(u\cdot v)}=\int{u\cdot dv}+\int{v\cdot du}==\\
==\int{u\cdot dv}=\int{d(u\cdot v)}-\int{v\cdot du}==\\
=\int{u\cdot d(v)}=u\cdot v-\int{v\cdot d(u)}\\
\int{(x-1)\ln x}dx=|u=\ln x=du= \frac{dx}{x} \ \ dv=(x-1)dx= \\v=\frac{1}{2}x^2-x|=\\
=x\ln x(\frac{x}{2}-1)-\int{( \frac{x^2}{2}-x)\cdot \frac{dx}{x} }=\\
=x\ln x(\frac{x}{2}-1)-\int{( \frac{x}{2}-1)\cdot {dx} }=\\
=x\ln x(\frac{x}{2}-1)-( \frac{x^2}{4}-x)+C=x\{(\frac{x}{2}-1)\ln x- \frac{x}{4} +1\}+C
4,8(92 оценок)
Открыть все ответы
Ответ:
frostywhite
frostywhite
13.10.2022
Ответ. Жизнь Орлеанской девы, план сообщения:
1) семья Жанны (в масштабах страны это всего лишь крестьяне, но в масштабах своей деревни это элита);
2) видения Жанны, её решение начать свой особый путь;
3) появление Жанны в Вокулере, рост её популярности;
4) приезд к дофину, первое появление при дворе;
5) подготовка к походу на Орлеан;
6) снятие осады с Орлеана, ранение Жанны;
7) значение снятия осады с Орлеана;
8) патриотический подъём после победы под Орлеаном, многочисленные добровольцы в армии;
9) натиск после победы под Орлеаном, битва при Пате;
10) коронация короля в Реймсе;
11) неудача наступление на Париж;
12) отказ короля от масштабной войны;
13) последние незначительные боевые операции Жанны;
14) пленение Жанны и бездействие французского короля (хотя ему предлагали выкупить Жанну и времени на это было достаточно);
15) обвинения против Орлеанской девы, процесс и её отречение от своих дел;
16) «рецидив» ереси и смерть на костре;
17) оправдание и причисление к лику святых.
4,5(18 оценок)
Ответ:
huntress26
huntress26
13.10.2022
Ответ. Жизнь Орлеанской девы, план сообщения:
1) семья Жанны (в масштабах страны это всего лишь крестьяне, но в масштабах своей деревни это элита);
2) видения Жанны, её решение начать свой особый путь;
3) появление Жанны в Вокулере, рост её популярности;
4) приезд к дофину, первое появление при дворе;
5) подготовка к походу на Орлеан;
6) снятие осады с Орлеана, ранение Жанны;
7) значение снятия осады с Орлеана;
8) патриотический подъём после победы под Орлеаном, многочисленные добровольцы в армии;
9) натиск после победы под Орлеаном, битва при Пате;
10) коронация короля в Реймсе;
11) неудача наступление на Париж;
12) отказ короля от масштабной войны;
13) последние незначительные боевые операции Жанны;
14) пленение Жанны и бездействие французского короля (хотя ему предлагали выкупить Жанну и времени на это было достаточно);
15) обвинения против Орлеанской девы, процесс и её отречение от своих дел;
16) «рецидив» ереси и смерть на костре;
17) оправдание и причисление к лику святых.
4,7(78 оценок)
Новые ответы от MOGZ: Другие предметы
logo
Вход Регистрация
Что ты хочешь узнать?
Спроси Mozg
Открыть лучший ответ