М
Молодежь
К
Компьютеры-и-электроника
Д
Дом-и-сад
С
Стиль-и-уход-за-собой
П
Праздники-и-традиции
Т
Транспорт
П
Путешествия
С
Семейная-жизнь
Ф
Философия-и-религия
Б
Без категории
М
Мир-работы
Х
Хобби-и-рукоделие
И
Искусство-и-развлечения
В
Взаимоотношения
З
Здоровье
К
Кулинария-и-гостеприимство
Ф
Финансы-и-бизнес
П
Питомцы-и-животные
О
Образование
О
Образование-и-коммуникации

Диктант. Обозначьте падежи существительных, которые являются зависимыми словами в данных словосочетаниях. Подчеркните чередующиеся гласные в корнях слов.

👇
Ответ:
Dasha57891
Dasha57891
21.06.2021
№1
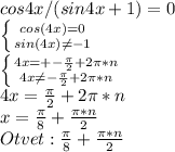
cos4x/(sin4x+1)=0 \\ \left \{ {{ cos(4x)=0} \atop {sin(4x) \neq -1}} \right. \\ \left \{ {{4x=+- \frac{ \pi }{2} + 2\pi *n} \atop {4x \neq - \frac{ \pi }{2} +2 \pi *n}} \right. \\ 4x= \frac{ \pi }{2} +2 \pi *n \\ x= \frac{ \pi }{8} + \frac{ \pi *n}{2} \\ Otvet: \frac{ \pi }{8} + \frac{ \pi *n}{2}
№2
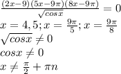
\frac{(2x-9)(5x-9 \pi )(8x-9 \pi )}{ \sqrt{cosx} } =0 \\ x=4,5; x= \frac{9 \pi }{5} ; x= \frac{9 \pi }{8} \\ \sqrt{cosx} \neq 0 \\ cosx \neq 0 \\ x \neq \frac{ \pi }{2} + \pi n 
тогда корни уравнения: x=4,5; x= \frac{9 \pi }{5} ; x= \frac{9 \pi }{8}
4,7(1 оценок)
Открыть все ответы
Ответ:
alexlol228
alexlol228
21.06.2021
Что олицетворяли боги, чему покровительствовали?
египет
Олицетворяли силу, покровительствовали природным явлениям
греция
Олицетворяют силу, покровительствуют природным явлениям и взаимоотношениям людей

 Какое место в жизни людей занимали?
елипет
Люди их почитали, приносили жертвы
греция
Люди их почитали, приносили жертвы

 Как выглядели?
египет
Как люди и как животные
греция
 Как люди

Кто был главным богом?
египет
Что он олицетворял? Осирис - бог природы и загробного мира
греция
Зевс - промовержец
4,5(91 оценок)
Ответ:
фейс4
фейс4
21.06.2021

Ларина Латынина – одна из самых знаменитых русских фигур в истории олимпийских игр. На сегодняшний день она сохраняет позицию единственной гимнастки, которая выиграла на трех Олимпиадах подряд: в Мельбурне (1956), в Риме (1960) и в Токио (1964). Она − уникальная спортсменка, которая обладает 18-ю олимпийскими медалями, среди которых самые большое количество золотых – 9 штук. Спортивная карьера Ларисы началась в 1950 году. Будучи еще школьницей, Лариса выполнила первый разряд в составе сборной Украины, после чего отправилась на всесоюзное первенство в Казань. Благодаря последующим усиленным тренировкам Латынина в 9-м классе выполнила норматив мастера спорта. После окончания школы Ларисе прислали вызов на всесоюзный сбор в Братцево, где сборная команда СССР готовилась к Всемирному фестивалю молодежи и студентов в Бухаресте. Отборочные соревнования юная спортсменка достойно и после получила шерстяной костюм с белой «олимпийской» полоской на шее и буквами «СССР».

Свои первые золотые медали международного масштаба Лариса Латынина получила в Румынии. А 3 декабря 1956 года Лариса отправилась на Олимпиаду в команде с П. Астаховой, Л. Калининой, Т. Маниной, С. Муратовой, Л. Егоровой. Стоит отметить, что все участницы состава дебютировали на Олимпиаде. И там, в Мельбурне, Лариса стала абсолютной олимпийской чемпионкой. А уже в 1964 году Лариса Латынина вошла в историю, как обладательница 18-ти олимпийских наград.

4,7(18 оценок)
Это интересно:
Новые ответы от MOGZ: Другие предметы
logo
Вход Регистрация
Что ты хочешь узнать?
Спроси Mozg
Открыть лучший ответ