метра.
метров. Общее время - 

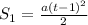
- Общий путь.
- путь который пройдет до предпоследней секунды.
- формула замедленного движения для общего пути. Выражаем ускорение. 
Из этого следует уравнение движения -





cекунд(отсекаем этот вариант)
секунды
м/c^2
м\c
Объяснение:
1.Ну я выведу эту штуку
Если Fa<mg, то тело тонет, а если Fa>mg, то всплывает
Fa=ρжgV
m=ρтV
ρжgV<ρтVg тонет
ρж<ρт, то тело тонет, ρж>ρт то всплывает.
Ну получается у пластика плотность больше, чем у воды, вот и тонет. А у дерева наоборот, вот оно и не тонет
2.С жидкостями тоже самое, у масла плотность меньше, вот она и всплыла.
3. Когда мы сворачиваем фольгу, то часть объема заполняет воздух, у которого плотность меньше, чем у воды. Поэтому общая плотность коробочки становится меньше, чем у простого листа. Вот она и не тонет.
4.Губка не тонет, потому что плотность губки меньше, чем у воды. Тем более в губке есть дырочки, которые содержат воздух.
Закон (право) — законодательным органом государственной власти, регулирует определённые общественные отношения. В широком смысле под законом понимается любой нормативно-правовой акт, действующий в рамках конкретной правовой системы.
Закон (наука) — фактологически доказанное утверждение (в рамках теории, концепции, гипотезы), объясняющее объективные факты; либо некое явление, обладающее общностью и повторяемостью, зафиксированное и описанное.
«Закон» — советский фильм режиссёра Владимира Наумова (1988).
«Закон» — российский телесериал режиссёра Александра Велединского (2002).