М
Молодежь
К
Компьютеры-и-электроника
Д
Дом-и-сад
С
Стиль-и-уход-за-собой
П
Праздники-и-традиции
Т
Транспорт
П
Путешествия
С
Семейная-жизнь
Ф
Философия-и-религия
Б
Без категории
М
Мир-работы
Х
Хобби-и-рукоделие
И
Искусство-и-развлечения
В
Взаимоотношения
З
Здоровье
К
Кулинария-и-гостеприимство
Ф
Финансы-и-бизнес
П
Питомцы-и-животные
О
Образование
О
Образование-и-коммуникации
7lavz
7lavz
13.05.2021 11:12 •  Физика

Кастрюлю с 3 кг воды поставили на электроплитку мощ­ностью 1,5 кВт. За 10 мин температура воды увеличилась от 20 °C до 70 °C. Выберите все верные утверждения, при необходимости используя таблицу. Укажите один или несколько правильных вариантов ответа:

КПД электроплитки в данном случае больше 60 %

КПД электроплитки в данном случае больше 50 %

Тепловые потери превышают 350 кДж

Воде передано количество теплоты, превышающее 550 кДж


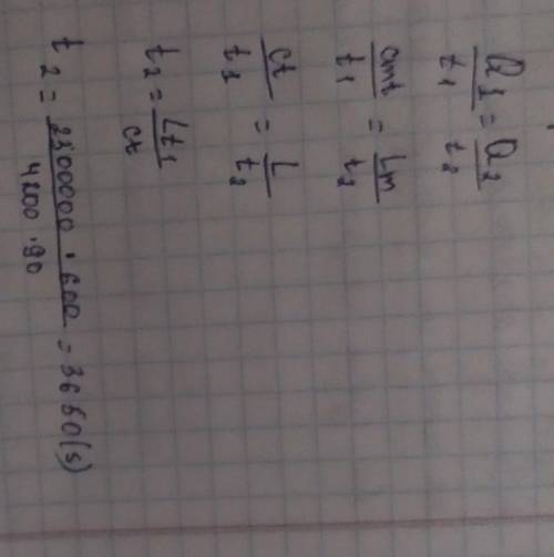
Кастрюлю с 3 кг воды поставили на электроплитку мощ­ностью 1,5 кВт. За 10 мин температура воды увели

👇
Ответ:

3650(s)

Объяснение:

вроде так.....................


Кастрюлю с 3 кг воды поставили на электроплитку мощ­ностью 1,5 кВт. За 10 мин температура воды увели
4,8(5 оценок)
Открыть все ответы
Ответ:
koooool
koooool
13.05.2021
А) Если конденсатор сначала заряжают, а затем отключают от источника напряжения, то неизменным остается заряд q на обкладках, а при увеличении втрое расстояния  изменяется емкость С и напряжение U на нем. Соответственно энергия W=q^2/2C. Так как емкость С=eS/d, C1=eS/d, C2=eS/3d =C1/3, то W2=3W1.
б) Если конденсатор остается подключенным, то у такого конденсатора изменяется вследствие увеличении расстояния его емкость С2=C1/3 и заряд на обкладках q=C*U. U естественно остается тем же, а q2=C2*U=C1*U/3.
W2=q2^2/2C2=3(C1*U)^2/9*2*C1=(C1*U)^2/6*C1=C*U^2/6=W1/3,  W1=C*U^2/2.
4,5(44 оценок)
Ответ:
olga0520
olga0520
13.05.2021
Дано:
m1=1kg
t1=0 C
q = 4,4*10^{7} Дж/кг 
λ = 3,4*10^{5} Дж/кг 
L = 2,3*10^{6} Дж/кг 
Найти:
m2 - ? масса газа для плавления льда
m2 - ? для кипения воды
Решение:
Qгаз=qm2 (теплота сгорания газа)
Qлед=λm1 (теплота плавления льда)
По закону сохранения энергии: qm2=λm1
Отсюда, получаем: m2= λm1/q
Масса газа для плавления льда = 7 граммов газа
Qвода=сm1Δt (теплота нагревания до 100 градусов)
Qгаз=Lm1 (теплота испарения воды)
Qсгорания газа=Qнагревания воды
qm2=сm1Δt
Отсюда, получаем: m2=(сm1(100-0))/q=4200*1*100/4.4*10^{7} = 10 
Масса газа для испарения килограмма воды = 10 грамм
ответ: 7 граммов газа, чтобы расплавить кг льда и увеличить на 10, чтобы испарить растаявший лед.
 
4,7(75 оценок)
Это интересно:
Новые ответы от MOGZ: Физика
logo
Вход Регистрация
Что ты хочешь узнать?
Спроси Mozg
Открыть лучший ответ