М
Молодежь
К
Компьютеры-и-электроника
Д
Дом-и-сад
С
Стиль-и-уход-за-собой
П
Праздники-и-традиции
Т
Транспорт
П
Путешествия
С
Семейная-жизнь
Ф
Философия-и-религия
Б
Без категории
М
Мир-работы
Х
Хобби-и-рукоделие
И
Искусство-и-развлечения
В
Взаимоотношения
З
Здоровье
К
Кулинария-и-гостеприимство
Ф
Финансы-и-бизнес
П
Питомцы-и-животные
О
Образование
О
Образование-и-коммуникации
regionagustin
regionagustin
21.05.2022 06:44 •  Физика

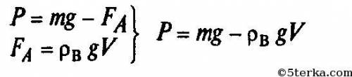
2. Какую силу необходимо приложить к погруженной в воду горной породе массой 30 кг и массой 0,012 м3? = 101

👇
Ответ:
Притти
Притти
21.05.2022

......................................................................


2. Какую силу необходимо приложить к погруженной в воду горной породе массой 30 кг и массой 0,012 м3
2. Какую силу необходимо приложить к погруженной в воду горной породе массой 30 кг и массой 0,012 м3
2. Какую силу необходимо приложить к погруженной в воду горной породе массой 30 кг и массой 0,012 м3
2. Какую силу необходимо приложить к погруженной в воду горной породе массой 30 кг и массой 0,012 м3
4,5(99 оценок)
Открыть все ответы
Ответ:
натярппо
натярппо
21.05.2022
Вариант 1.
1) Q=q*N=1,6*10^-19*8,0*10^10=12,8*10^-9Кл
2) Во вложении
4) Сначала заряд на обкладках конденсатора будет равен q=C*U.Емкость конденсатора после внесения  диэлектрика с диэлектрической проницаемостью е увеличится в e раз и станет равной e*C, при этом заряд увеличится и станет равен q2=e*C*U, а значит через источник тока пройдет заряд равный q2-q=C*U(e-1)
Вариант 2.
1) 6кН
2) F=k*Q1*Q2/e*R^2
Q2=e*F*R^2/k*Q1=56*120*10^-6*4*10^-4/9*10^9*10*10^-9=29,8нКл
4) C=Q/U следовательно U=Q/C. Если конденсатор отключен, то Q не изменяется
С=E*Eo*S/d При увеличении d в k раз С уменьшится в k раз. Поэтому
U те дельта фи . Увеличится в k раз те U=k*Uo
)надо по возможности все номера 1 вариант. 1.определите заряд металлического шара,если количество на
4,7(68 оценок)
Ответ:
aromishka
aromishka
21.05.2022
Меняется лишь давление. Так как пакет и кувшин имеют разную форму, то что-то из них глубже. А давление на глубине h определяется формулой p=mgh,  и давление в находящихся близко ко дну слоях молока в более глубоком сосуде будет больше, чем в "придонных" слоях более мелкого сосуда. Но это во-первых. Во-вторых, кувшин и пакет имеют разную массу и разную площадь контакта с опорой (например, столом). Допустим, что пакет с молоком имеет массу m1 и площадь соприкосновения S1, а кувшин с молоком - m2 и S2.Тогда давление пакета с молоком на опору P1=m1*g/S1, а кувшина с молоком - P2=m2*g/S2. Вообще говоря, P1≠P2.  
4,4(34 оценок)
Это интересно:
Новые ответы от MOGZ: Физика
logo
Вход Регистрация
Что ты хочешь узнать?
Спроси Mozg
Открыть лучший ответ