М
Молодежь
К
Компьютеры-и-электроника
Д
Дом-и-сад
С
Стиль-и-уход-за-собой
П
Праздники-и-традиции
Т
Транспорт
П
Путешествия
С
Семейная-жизнь
Ф
Философия-и-религия
Б
Без категории
М
Мир-работы
Х
Хобби-и-рукоделие
И
Искусство-и-развлечения
В
Взаимоотношения
З
Здоровье
К
Кулинария-и-гостеприимство
Ф
Финансы-и-бизнес
П
Питомцы-и-животные
О
Образование
О
Образование-и-коммуникации
Dacha111111111
Dacha111111111
23.05.2020 08:14 •  Физика

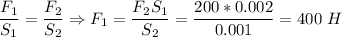
Площадь меньшего поршня гидравлического пресса 10см^2.На него действует сила 200 Н.Площадь большего поршня 20см^2.Какая сила действует на большой поршень ?​​

👇
Ответ:
Andreevna003
Andreevna003
23.05.2020

Объяснение:

\dfrac{F_1}{S_1} = \dfrac{F_2}{S_2} \Rightarrow F_1 = \dfrac{F_2S_1}{S_2} = \dfrac{200*0.002}{0.001} = 400~H

4,4(80 оценок)
Открыть все ответы
Ответ:
eliseenko941
eliseenko941
23.05.2020

Формула такова: E(i)=-deltaФ/delta t

Если словами: ЭДС индукции равна и противоположна по знаку скорости изменения магнитного потока через поверхность, ограниченную контуром. При этом знак "-" в формуле учитывает направление индукционного тока.

2 по закону Ома для колебального контура

3.385 мкс

Период колебаний в контуре обозначим, как всегда, через T. Сопротивление катушки будем считать равным нулю.

Как и в случае механических колебаний, вынужденные электромагнитные колебания проявляются при наличии внешней периодически изменяющейся силы. Такие колебания проявляются, например, при наличии в цепи периодической электродвижущей силы. Переменная ЭДС индукции возникает в проволочной рамке из нескольких витков, вращающейся в поле постоянного магнита, рис. 3.63. При этом магнитный поток, пронизывающий рамку, периодически меняется. В соответствии с законом электромагнитной индукции периодически меняется и возникающая ЭДС индукции. Если рамку замкнуть на гальванометр, его стрелка начнет колебаться около положения равновесия, показывая, что в цепи идет переменный ток. Отличительной особенностью вынужденных колебаний является зависимость их амплитуды от частоты изменения внешней силы.

4,5(41 оценок)
Ответ:
irinaeenjoy
irinaeenjoy
23.05.2020

Самое удивительное на свете вещество-вода

Наша Земля из космоса выглядит как голубая планета. И это не случайно. Ведь бóльшая часть ее поверхности покрыта водой, благодаря которой на Земле возможно существование жизни. Распространяется ли на воду тот разумный замысел, который мы обнаруживаем в физических константах и в удивительном сочетании планетарных характеристик нашей планеты?

В самом начале первой главы Библии мы находим указание на особое Божественное попечение о воде: "И Дух Божий носился над водою" (Быт.: 1, 2).

По толкованию св. Василия Великого "Дух носился, то есть приуготовлял водное естество к рождению живых тварей". Согласно этим представлениям воде при сотворении мира было уделено особое внимание. Если это так, то особое Божественное попечение о воде придало этому веществу и какие-то особые, уникальные свойства, которые больше нигде, кроме воды, не встречаются. Что может сказать по этому поводу наука?

Ученые удивляются

Еще в первой половине XIX века натуралисты обнаружили, что некоторые из характеристик воды нарушают общепринятые законы природы, что в этих несоответствиях присутствует Божественный замысел, и что они являются доказательством того, что вода была сотворена ради существования жизни. Позже известным русским ученым Дмитрием Менделеевым была составлена периодическая таблица, на основании которой он предсказал существование еще не известных науке элементов, а также свойства этих элементов и их соединений. Так вот оказалось, что вода не признает никаких закономерностей этой периодической системы. Согласно логике этой системы, вода должна была бы замерзать при –90 ОС, а она замерзает при ООС, кипеть при –70 ОС, а она кипит при 100 ОС. И это далеко не все, что делает воду уникальным веществом.

Академик И.В. Петрянов по поводу загадочных свойств воды утверждает следующее: "Почти все физико-химические свойства воды – исключение в природе. Она действительно самое удивительное вещество на свете. Ученые уже немало узнали о воде, разгадали многие ее тайны. Но чем больше они изучают воду, тем больше убеждаются в неисчерпаемости ее свойств, некоторые из которых настолько любопытны, что порой все еще не , которые

4,6(73 оценок)
Это интересно:
Новые ответы от MOGZ: Физика
logo
Вход Регистрация
Что ты хочешь узнать?
Спроси Mozg
Открыть лучший ответ