М
Молодежь
К
Компьютеры-и-электроника
Д
Дом-и-сад
С
Стиль-и-уход-за-собой
П
Праздники-и-традиции
Т
Транспорт
П
Путешествия
С
Семейная-жизнь
Ф
Философия-и-религия
Б
Без категории
М
Мир-работы
Х
Хобби-и-рукоделие
И
Искусство-и-развлечения
В
Взаимоотношения
З
Здоровье
К
Кулинария-и-гостеприимство
Ф
Финансы-и-бизнес
П
Питомцы-и-животные
О
Образование
О
Образование-и-коммуникации
kall4
kall4
18.02.2022 05:13 •  Физика

Если под действием силы f1 = 10 h тело движется с ускорением a1 = 2м/с², то с каким ускорением будет двигаться это тело под действием силы f2 = 25 h.

👇
Ответ:
nastyakholod92
nastyakholod92
18.02.2022
Для начала найдём массу:

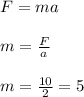
F=ma
\\\\m= \frac{F}{a}
\\\\m= \frac{10}{2}=5

a= \frac{F}{m}
\\\\a=\frac{25}{5} = 5\ \frac{m}{c^2}

ответ: a = м/с²
4,6(82 оценок)
Открыть все ответы
Ответ:
BRAJJ
BRAJJ
18.02.2022
• количество теплоты (энергии), которое шарик передаст пластине, будет равно его кинетической энергии в момент соударения

• определим ускорение шарика из уравнения динамики (так как пластина и шарик разноименно заряженные, то вектор Кулоновской силы направлен вниз - они притягиваются):

○ F + mg = ma

○ a = ((E q)/m) + g

• скорость шарика перед столкновением определим из уравнения кинематики:

○ h = (v² - v0²)/(2a)

○ v = √(v0² + 2ah)

○ v = √(v0² + 2h (((E q)/m) + g))

• количество теплоты, выделяемое на пластине:

○ Q = (m v²)/2

○ Q = m (0.5 v0² + h (((E q)/m) + g))

○ Q = 4*10^(-2)*(0.5*4 + 0.1*(2.5 + 9.8)) = 0.1292 Дж ≈ 0.13 Дж
4,4(16 оценок)
Ответ:
oksankavelsh
oksankavelsh
18.02.2022
Пусть масса вагона равна М. Система движется, как целое, поэтому ускорение первого и второго вагонов одинаковое, пусть оно равно а.
Силу трения можно не учитывать, она одинакова для первого и второго вагонов. Пусть между локомотивом и первым вагоном сила натяжения равна Т₁, между первым и вторым вагонами Т₂.
Тогда II з-н Ньютона в проекции на ось ОХ, направление которой совпадает с направлением движения запишется для первого вагона  так: Ма = Т₁ - Т₂ 
А для второго так: Ма = Т₂
Решая эту простенькую систему получим, что Т₁ = 2Ма; Т₂ = Ма.
Отсюда Т₁/Т₂ = 2.
4,5(74 оценок)
Это интересно:
Новые ответы от MOGZ: Физика
logo
Вход Регистрация
Что ты хочешь узнать?
Спроси Mozg
Открыть лучший ответ