М
Молодежь
К
Компьютеры-и-электроника
Д
Дом-и-сад
С
Стиль-и-уход-за-собой
П
Праздники-и-традиции
Т
Транспорт
П
Путешествия
С
Семейная-жизнь
Ф
Философия-и-религия
Б
Без категории
М
Мир-работы
Х
Хобби-и-рукоделие
И
Искусство-и-развлечения
В
Взаимоотношения
З
Здоровье
К
Кулинария-и-гостеприимство
Ф
Финансы-и-бизнес
П
Питомцы-и-животные
О
Образование
О
Образование-и-коммуникации
myhaylonotochk
myhaylonotochk
15.09.2021 00:35 •  Физика

Через який час після початку аварійного гальмування зупиниться автобус, що рухається з швидкістю 12 м/с, якщо коефіцієнт опору при аварійному гальмуванні дорівнює 0,4? прийняти прискорення вільного падіння рівним 10 м/с2. ввести просто число без жодних розмірностей з точністю до цілих.

👇
Ответ:
Avetazatan
Avetazatan
15.09.2021

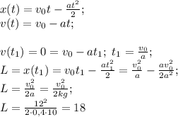
F = kmg, k - коэффициент трения

По второму закону Ньютона: ma = F = kmg, a = kg - ускорение автобуса;

x(t) = v_0t-\frac{at^2}{2};\\ v(t) = v_0-at;\\\\v(t_1)=0=v_0-at_1;\ t_1=\frac{v_0}{a};\\L = x(t_1)=v_0t_1-\frac{at_1^2}{2} = \frac{v_0^2}{a}-\frac{av_0^2}{2a^2};\\L= \frac{v_0^2}{2a} = \frac{v_0^2}{2kg};\\L = \frac{12^2}{2\cdot 0,4\cdot 10} = 18

ответ: 18 м.

4,6(86 оценок)
Открыть все ответы
Ответ:
artik5990765
artik5990765
15.09.2021

химический знак —  La .

 

Масса изотопа — 148.

Объяснение:

1. Находим элемент бром в Периодической таблице химических элементов Д. И. Менделеева. Определяем его заряд по порядковому номеру — 35. Масса изотопа из условия задачи — 85.

2. Запишем уравнение ядерной реакции, обозначив ядро неизвестного осколка  X :  U+n01→X+ZA3n0192235 .

3. По закону сохранения зарядового числа находим  Z=92−35=57 . Химический элемент с порядковым номером 57 — лантан.

4. По закону сохранения массового числа находим  A=235+1−85−3⋅1=148 .

4,8(45 оценок)
Ответ:
franciskthedirty
franciskthedirty
15.09.2021
1. Электролиты — вещества, растворы или расплавы которых проводят электрический ток; проводники второго рода, вещества, электропроводность которых обусловлена подвижностью ионов. К электролитам относят щелочи, растворимые соли и кислоты.
2. Явление распада молекул солей, щелочей и кислот в воде на ионы противоположных знаков называют электролитической диссоциацией. Полученные в следствие распада ионы служат носителями заряда в жидкости, а сама жидкость становятся проводником. Вне электрического поля ионы движутся хаотически. Под действием внешнего электрического поля ионы, продолжая хаотичные движения, вместе с тем смещаются в направлении действия сил электрического поля: катионы к катоду, анионы - к аноду.
3. Электролиз - это окислительно-восстановительный процесс, протекает на электродах при прохождении постоянного электрического тока через растворы или расплавы электролитов.
На отрицательно заряженном электроде - катоде происходит электрохимическое восстановление частиц (атомов, молекул, катионов), а на положительно заряженном электроде - аноде идет электрохимическое окисление частиц (атомов, молекул, анионов).
4. Первый закон электролиза Фарадея: масса вещества, осаждённого на электроде при электролизе, прямо пропорциональна количеству электричества, переданного на этот электрод. Под количеством электричества имеется в виду электрический заряд, измеряемый, как правило, в кулонах.
Второй закон электролиза Фарадея: для данного количества электричества (электрического заряда) масса химического элемента, осаждённого на электроде, прямо пропорциональна эквивалентной массе элемента. Эквивалентной массой вещества является его молярная масса, делённая на целое число, зависящее от химической реакции, в которой участвует вещество.
5. Электролиз широко применяется в промышленности и в технике. Например, именно электролиз служит одним из эффективнейших промышленного получения водорода, пероксида водорода, диоксида марганца, алюминия, натрия, магния, кальция и прочих веществ.
Применяется электролиз для очистки сточных вод, в гальваностегии, в гальванопластике, наконец — в химических источниках тока.
4,4(13 оценок)
Новые ответы от MOGZ: Физика
logo
Вход Регистрация
Что ты хочешь узнать?
Спроси Mozg
Открыть лучший ответ