М
Молодежь
К
Компьютеры-и-электроника
Д
Дом-и-сад
С
Стиль-и-уход-за-собой
П
Праздники-и-традиции
Т
Транспорт
П
Путешествия
С
Семейная-жизнь
Ф
Философия-и-религия
Б
Без категории
М
Мир-работы
Х
Хобби-и-рукоделие
И
Искусство-и-развлечения
В
Взаимоотношения
З
Здоровье
К
Кулинария-и-гостеприимство
Ф
Финансы-и-бизнес
П
Питомцы-и-животные
О
Образование
О
Образование-и-коммуникации
valerijamarkov
valerijamarkov
09.05.2020 21:19 •  Физика

Разветвление из трех парралельно включенных сопротивлением 3, 8 и 6 ом включено последовательно с другим разветвлением, состоящим из четырех сопротивлением 2, 7, 6 и 3 ом. определите эквивалентное сопротивление цепи и нарисуйте ее электрическую схему

👇
Ответ:
Сопротивление первого разветвления R₁₂₃
\frac{1}{R_{123}} = \frac{1}{R_1} + \frac{1}{R_2}+ \frac{1}{R_3} \\ 
 \frac{1}{R_{123}} = \frac{1}{3} + \frac{1}{8}+ \frac{1}{6} = \frac{16+6+8}{48} = \frac{30}{48} = \frac{5}{8} \\ {R_{123}= \frac{8}{5} =1.6
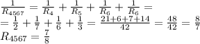
Сопротивление второго разветвления R₄₅₆₇
\frac{1}{R_{4567}} = \frac{1}{R_4} + \frac{1}{R_5}+ \frac{1}{R_6}+ \frac{1}{R_6}= \\ 
= \frac{1}{2} + \frac{1}{7}+ \frac{1}{6}+ \frac{1}{3}= \frac{21+6+7+14}{42}= \frac{48}{42}= \frac{8}{7} \\ 
R_{4567} = \frac{7}{8}
Общее сопротивление R
R=R_{123}+R_{4567}= \frac{8}{5} + \frac{7}{8} = \frac{64+35}{40} = \frac{99}{40} =2,475
ответ: 2,475 Ом
Разветвление из трех парралельно включенных сопротивлением 3, 8 и 6 ом включено последовательно с др
4,6(80 оценок)
Открыть все ответы
Ответ:
ksyusham041
ksyusham041
09.05.2020

v₀ = 4 м/с;  a₁ = 1,2 м/с²;   v = 16 м/с;    t₂ = 8 с.

Объяснение:

Задание:

Начальная скорость движения лыжника со склона длиной s₁ составляет v₀. по склону он двигается с ускорением а₁ в течение времени t₁ и в конце склона приобретает скорость v. Имея на горизонтальном участке начальную скорость v, он проехал с ускорением а₂, расстояние s₂ в течение времени t₂ и остановился. Используя данные, приведенные в таблице, определите неизвестные величины в варианте, указанном учителем.

Дано:

s₁ = 100м

t₁ = 10c

a₂ = 2м/с²

s₂ = 64м

v₂ = 0

Найти:

v₀; a₁; v; t₂

Равноускоренное движение описывается формулами:

a = const

v(t ) = v₀ + at

s(t) = v₀t + 0.5 at²

1-й этап движения

v = v₀ + a₁t₁

s₁ = v₀t₁ + 0.5 a₁t₁²

или

v = v₀ + 10a₁              (1)

100 = 10v₀ + 50а₁     (2)

2-й этап движения:

v₂ = v - a₂t₂

s₂ = vt₂ - 0.5 a₂t₂²

или

0 = v - 2t₂                 (3)

64 = vt₂ - t₂²           (4)

Из уравнения (3) получим

v = 2t₂                         (5)

и подставим в (4)

64 = 2t₂² - t₂²

t₂² = 64

t₂ = 8 c.

Из выражения (5) получим

v = 16 м/с.

Подставим в уравнение (1)

16 = v₀ + 10a₁  

и получим

v₀ = 16 - 10a₁                 (6)

Подставим в уравнение (2)

100 = 10v₀ + 50а₁

100 = 10(16 - 10а₁) + 50а₁

или

10 = 16 - 10а₁ + 5а₁

5а₁ = 6

а₁ = 1,2 м/с².

Подставим в (6)

v₀ = 16 - 10 · 1,2

v₀ = 4 м/с .

4,7(16 оценок)
Ответ:
batareya666
batareya666
09.05.2020

Объяснение:

1 СИЛЫ ТРЕНИЯ. Трение в природе и технике. Автор: (ваше имя)

2 Силы трения Трение – один из видов взаимодействия тел. Оно возникает при соприкосновении двух тел. Силы, действующие между поверхностями соприкасающихся твердых тел, называются силами сухого трения. Они всегда направлены по касательной к соприкасающимся поверхностям и подразделяются на силы трения покоя, скольжения и качения.

3 Сила трения покоя Почему не удается сразу сдвинуть с места тяжелый ящик или шкаф? Чтобы сдвинуть с опоры нужно приложить силу. Эта сила уравновешивает силу трения покоя.

4 Сила трения покоя На наклонной опоре сила трения удерживает тело. Попробуйте сдвинуть с места лоток с приборами на парте. Что вы чувствуете? Какие примеры, показывающие действие силы трения покоя можно привести?

5 Сила трения покоя Сила трения покоя – величина непостоянная, она может изменятся от нуля до некоторого максимального значения Fтр max. Приложив к телу силу, превышающую максимальную силу трения покоя, мы сдвинем тело с места, и оно начнет двигаться.

6 Сила трения скольжения. Силу трения в этом случае называют силой трения скольжения. Почему замедляет своё движение шайба, скользящая по льду? Почему останавливаются санки, скатившиеся с горы?

7 Примеры трения скольжения

9 Свойства силы трения скольжения: направлена против скорости, направлена против скорости, не зависит от величины скорости, не зависит от величины скорости, Зависит от веса тела. Зависит от веса тела.

10 Сила трения качения Сила трения качения возникает, если тело катится по поверхности другого тела. Она значительно меньше силы трения скольжения для тела соответствующей массы.

11 Примеры сил трения качения Для перемещения тяжелых грузов подкладывают под них круглые катки, чтобы уменьшить силу трения.

12 Примеры сил трения качения По этой же причине люди стали использовать в транспорте колёса. Какие примеры, показывающие действие силы трения качения можно привести?

13 Причины возникновения сил трения Межмолекулярное притяжение, действующее в месте контакта трущихся тел.

14 Опыт с двумя стеклянными пластинами Прижмите друг к другу посильнее два стеклышка и попробуйте перемещать одно относительно другого. Можете ли вы объяснить наблюдаемое явление?

15 Причины возникновения сил трения Шероховатость поверхностей соприкасающихся тел.(даже гладкие поверхности имеют микроскопические неровности и при скольжении зацепляются друг за друга и тем самым мешают движению.)

16 Трение в технике В технике трение может быть как полезным, так и вредным. В первом случае его стараются усилить, во втором- ослабить.

17 Полезное трение Благодаря трения покоя люди и животные ходят по земле.

18 Полезное трение Автомобили и поезда могут двинуться с места и остановиться.

19 Полезное трение Удерживает все стоящие на столе и на полу предметы.

20 Полезно трение Не будь трения, предметы выскальзывали бы из рук.

21 Полезное трение Представим себе на минуту, что Сила Трения внезапно исчезла: Окружающий нас мир стал бы совершенно иным. Мебель гуляла бы по комнате от легкого сквозняка, с гор сползли бы все ледники, все камни и даже земля лежащая на склонах.

22 Даже самые спокойные из нас, учеников, не смогли бы усидеть за партами – при малейшем движении мы бы соскальзывали на пол

23 Без трения не играла бы скрипка, так как при движении смычка по струнам не издавался бы звук

24 Все дома и другие конструкции рассыпались бы на составные части, так как все гвозди и шурупы выскочили бы. Поэтому трение покоя во многих случаях необходимо и выступает очень часто человека.

25 Вредное трение Нагреваются и изнашиваются многие движущиеся части различных механизмов. Изнашиваются подошвы обуви и покрышки колёс автомобилей.

уменьшения трения Смазка трущихся поверхностей(трение между слоями жидкости слабее, чем между твердыми поверхностями) Использование шариковых и роликовых подшипников Применение воздушной подушки(трение уменьшается из-за создания воздушной области повышенного давления между телом и опорой. На этом принципе перемещаются суда на воздушной подушке.)

27 Использование шариковых и роликовых подшипников

28 Применение воздушной подушки

29 Трение в природе У многих растений и животных имеются различные органы, служащие для хватания (усики растений, хобот слона, цепкие хвосты лазающих животных). Все они имеют шероховатую поверхность для увеличения силы трения.

30 Трение в природе Среди живых организмов распространены при (шерсть, щетина, чешуйки, шипы, расположенные наклонно к поверхности ), благодаря которым трение получается малым при движении в одном направлении и большим – при движении в противоположном направлении.

31 Трение в природе На этом принципе основано движение дождевого червя. Щетинки, направленные назад, свободно пропускают тело червя вперед, но тормозят обратное движение. При удлинении тела головная часть продвигается вперед, а хвостовая остается на месте, при сокращении головная часть задерживается, а хвостовая подтягивается к ней.

32 Конец

{Фотографии можно самому выбрать )

лучший ответ можно?

4,5(42 оценок)
Новые ответы от MOGZ: Физика
logo
Вход Регистрация
Что ты хочешь узнать?
Спроси Mozg
Открыть лучший ответ