М
Молодежь
К
Компьютеры-и-электроника
Д
Дом-и-сад
С
Стиль-и-уход-за-собой
П
Праздники-и-традиции
Т
Транспорт
П
Путешествия
С
Семейная-жизнь
Ф
Философия-и-религия
Б
Без категории
М
Мир-работы
Х
Хобби-и-рукоделие
И
Искусство-и-развлечения
В
Взаимоотношения
З
Здоровье
К
Кулинария-и-гостеприимство
Ф
Финансы-и-бизнес
П
Питомцы-и-животные
О
Образование
О
Образование-и-коммуникации
Smash2302
Smash2302
24.07.2021 05:22 •  Физика

Тіло, рухаючись рівноприскорено із стану спокою, проходить за 4-ту секунду від початку руху 7м. який шлях пройде тіло за перші 10с? яку швикість воно буде мати в кінці 10-ї секунди?

👇
Ответ:
КРЕНДЕЛЬ228
КРЕНДЕЛЬ228
24.07.2021

Объяснение:

S4=0,5*a*(4^2-3^2)  a=S4/(16-9)*0,5=2 м/с2  S=a*t^2/2=2*10^2/2=100 м

S=V*t/2   V=2*S/t=2*100/10=20 м/с

4,4(51 оценок)
Ответ:
sonyaunicorn1
sonyaunicorn1
24.07.2021

ответ:S[за 10 секунд]=100м; V[кінці 10-ї секунди]=20м/c

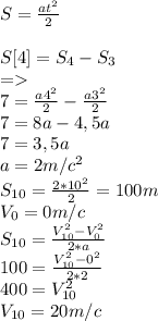
S=\frac{at^{2} }{2} \\\\S[4]=S_{4} -S_{3} \\=\\7=\frac{a4^{2} }{2}-\frac{a3^{2} }{2}\\7=8a-4,5a\\7=3,5a\\a=2m/c^{2} \\S_{10} =\frac{2*10^{2} }{2}=100m\\V_{0} =0m/c\\S_{10} =\frac{V_{10} ^{2} -V_{0} ^{2}}{2*a} \\100 =\frac{V_{10} ^{2} -0 ^{2}}{2*2} \\400=V_{10} ^{2}\\V_{10} = 20 m/c

Объяснение:

4,4(89 оценок)
Открыть все ответы
Ответ:
irina197505
irina197505
24.07.2021
Материальной точкой считается тело размерами которого можно пренебречь, то есть не использовать в задаче.
Человек изготавливает деталь - НЕТ, поскольку человек намного больше детали, поэтому он никак не может быть материальной точкой.
Человек путешествует. Смотря на чём и на какое расстояние, если предмет, на котором человек путешествует огромных размеров(космический корабль, ракета) или же на большое расстояние , тогда можно считать мат.точкой.
Прыгает через перекладину - ДА.Спортсмен считается материальной точкой. Прыжок считается от момента толчка перед перекладиной до момента приземления. Толчок сообщает этой точке начальную скорость, дальше она движется под действием силы тяжести, а значит, по параболе (тут, очевидно, еще одно допущение - о характере гравитационного поля на расстояниях ~1м). Высота прыжка равна высоте, которую эта самая точка достигает в вершине параболы. Прыгнуть в высоту, не совершив никакого перемещения поперек планки, никакой спортсмен не может - ни реальный, ни материальная точка.
4,7(68 оценок)
Ответ:
24.07.2021
Вірні:
2.В колебательном контуре магнитное поле сосредоточено в катушке.
4.Система, которая сама регулирует поступление энергии, называется автоколивальною.
5.В основе работы генератора тока лежит явление электромагнитной индукции.
6. Резонансная частота контура зависит от индуктивности и емкости контура.
Не вірні:
1.Сопротивление колебательного контура должен быть большим иначе колебания не возникнут.
3.Увеличение периода колебаний в колебательном контуре приводит к увеличению циклической частоты
 
4,4(48 оценок)
Это интересно:
Новые ответы от MOGZ: Физика
logo
Вход Регистрация
Что ты хочешь узнать?
Спроси Mozg
Открыть лучший ответ