М
Молодежь
К
Компьютеры-и-электроника
Д
Дом-и-сад
С
Стиль-и-уход-за-собой
П
Праздники-и-традиции
Т
Транспорт
П
Путешествия
С
Семейная-жизнь
Ф
Философия-и-религия
Б
Без категории
М
Мир-работы
Х
Хобби-и-рукоделие
И
Искусство-и-развлечения
В
Взаимоотношения
З
Здоровье
К
Кулинария-и-гостеприимство
Ф
Финансы-и-бизнес
П
Питомцы-и-животные
О
Образование
О
Образование-и-коммуникации
аллалесниченко
аллалесниченко
25.04.2020 16:59 •  Физика

Мяч бросают вертикально вверх с поверхности земли. сопротивлением воздуха можно пренебречь. при увеличении массы бросаемого мяча в 3 раза высота подъема мяча 1) не изменится 2) увеличится в √3 раз 3) увеличится в 3 раза 4) увеличится в 9 раз напишите решение еще ,

👇
Ответ:
dralov574
dralov574
25.04.2020

ответ: 1) не изменится

Объяснение:

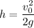
Если мы пренебрегаем сопротивлением воздуха, то согласно ЗСЭ можно записать равенство

E_{k_{0}} = E_{p}

\dfrac{mv^{2}_{0}}{2} = mgh

Отсюда

h = \dfrac{v^{2}_{0}}{2g}

Как можно заметить из последнего уравнения максимальная высота поднятия тела брошенного вертикально вверх никак не зависит от его массы - при условии что сопротивлением воздуха мы пренебрегаем

4,4(92 оценок)
Открыть все ответы
Ответ:
danillirka
danillirka
25.04.2020
Надо чтобы на расстоянии 10 м тело поднялось с высоты h на высотуH.
найдём за какое время тело преодолеет расстояние 10 м. Пусть скорость тела V. Тогда её проекция на ось х будет Vcos30°. это горизонтальная скорость и она не меняется со временем. t0=s/Vcos30°
Значит в момент времени t0 тело должно быть не ниже H.
В начальный момент времени вертикальная скорость тела была Vsin30°
высота тела меняется по закону
H(t)=h+V* sin30° *t -gt²/2
H(t0)=h+V* sin30° *t0 -gt0²/2=H
V* sin30° *t0 -gt0²/2=H-h
подставляем t0=s/Vcos30
V* sin30° *s/(V*cos30°) -g( s/Vcos30 )²/2=H-h
s*tg30° -gs²/(2V²cos²30° )=H-h
gs²/(2V²cos²30° )= s*tg30+h-H
V²=(gs²/2cos²30°)/( s*tg30+h-H)=(10 м/с² *10² м²/2 *(√3/2)²)/(10м *(√3/3)+2м-6м )=(10³м³/с² *4/6)/(5,77м-4м)=377м²/с²
V=19,4м/с
4,8(62 оценок)
Ответ:
Dayanna01
Dayanna01
25.04.2020
Пусть N N − − мощность отводимого из комнаты тепла с кондиционера. В установившемся режиме ровно столько же тепла проникает через стенки обратно в комнату, поэтому справедлива формула N=α⋅(t у1 −t к1 ), N=α⋅(tу1−tк1), где α α − − некоторая постоянная величина, зависящая от материала и конструкции стенок домика.На следующий день мощность отводимого тепла по условию не изменилась, поэтому верно аналогичное соотношение N=α⋅(t у2 −t к2 ). N=α⋅(tу2−tк2). Приравнивая правые части соотношений для мощности, получаем, что t у1 −t к1 =t у2 −t к2 , tу1−tк1=tу2−tк2, откуда установившаяся на следующий день температура равна t к2 =t у2 −t у1 +t к1 =24 ∘ C. tк2=tу2−tу1+tк1=24∘C.
4,6(33 оценок)
Это интересно:
Новые ответы от MOGZ: Физика
logo
Вход Регистрация
Что ты хочешь узнать?
Спроси Mozg
Открыть лучший ответ