М
Молодежь
К
Компьютеры-и-электроника
Д
Дом-и-сад
С
Стиль-и-уход-за-собой
П
Праздники-и-традиции
Т
Транспорт
П
Путешествия
С
Семейная-жизнь
Ф
Философия-и-религия
Б
Без категории
М
Мир-работы
Х
Хобби-и-рукоделие
И
Искусство-и-развлечения
В
Взаимоотношения
З
Здоровье
К
Кулинария-и-гостеприимство
Ф
Финансы-и-бизнес
П
Питомцы-и-животные
О
Образование
О
Образование-и-коммуникации
Лизик2007
Лизик2007
05.01.2020 19:47 •  Физика

Маятник длиной 1 м совершил 60 колебаний за 2 минуты найдите ускорение свободного падения

👇
Ответ:
Ромчик55123
Ромчик55123
05.01.2020
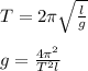
Пойдем по стандартной формуле для периода колебаний и найдем через нее ускорение свободного падения T = 2\pi\sqrt{\frac{l}{g}} \\\\ g = \frac{4\pi^2}{T^2l}

Период колебаний маятника 2 секунды (за 120 сек - 60 колебаний) Подставим числа и получим 3.14*3.14 = 9.8 м/с^2
4,6(92 оценок)
Открыть все ответы
Ответ:
Elizzzabethh
Elizzzabethh
05.01.2020
1. чтобы найти сопративление необходимо знать силу тока: R=U/I
силу тока находим так
I=q(заряд)/t(в секундах)=30/60=0,5А
 и теперь находим R
R=220/0.5=440 Ом 
2, при последовательном соединении R=R1+R2+R3=11Ом
Теперь находим напряжение 
U=R*I=11*5=55B
3. Сначала найдем сопративление 
R=U/I=0.6/1.5=0.4Ом
Через формулу 
R=ρ*L/S
выражаем L
L=R*S/ρ=0.4*3.6/0.017=84,2м
4,
орентируясь по формуле R=U/I
если увеличить в 2 раза силу тока, то сопративление уменьшиться в 2 раза( R=U/2I) , если еще и уменьшить в 2 раза напряжение, то сопративление уменьшиться в 4 раза( R=(U/2)/2I= U/4I)
Вот. 
4,5(23 оценок)
Ответ:
Matthew4567
Matthew4567
05.01.2020
Измерение величин цена деления шкалы прибора для определения цены деления (цд) шкалы прибора необходимо: 1) из значения верхней границы (вг) шкалы вычесть значение нижней границы (нг) шкалы и результат разделить на количество делений (n); цд=(вг-нг)/n 2) найти разницу между значениями двух соседних числовых меток (а  и  б) шкалы и разделить на количество делений между ними (n). цд=(б-а)/n си: (единица измеряемой величины)/(деление шкалы прибора)механическое движение скорость скорость (v) — величина, численно равна пути (s), пройденного телом за единицу времени (t).  си:   м/спуть путь (s) — длина траектории, по которой двигалось тело, численно равен произведению скорости (v) тела на время (t) движения.  си:   мвремя движения время движения (t) равно отношению пути (s), пройденного телом, к скорости (v) движения.  си:   ссредняя скорость средняя скорость (vср) равна отношению суммы участков пути (s1+s2+s3…), пройденного телом, к промежутку времени (t1+t2+t3…), за который этот путь пройден.  си:   м/ссила тяжести сила тяжести — сила (ft), с которой земля притягивает к себе тело, равная произведению массы (m) тела на коэффициент пропорциональности (g) — постоянную величину для земли.   (g=9,8 н/кг) си:   нвес вес (p) — сила, с которой тело действует на горизонтальную опору или вертикальный подвес, равная произведению массы (m) тела на коэффициент (g).  си:   нмасса масса (m) — мера инертности тела, определяемая при его взвешивании как отношение силы тяжести (p) к коэффициенту (g).  си:   кгплотность плотность (ρ) — масса единицы объёма вещества, численно равная отношению массы (m) вещества к его объёму (v).  си:   кг/м3механический рычаг, момент силы момент силы момент силы (m) равен произведению силы (f) на её плечо (l).  си:   н×мусловие равновесия рычага рычаг находится в равновесии, если плечи (l1, l2) действующих на него двух сил (f1, f2) обратно пропорциональны значениям сил. давление, сила давления давление давление (p) — величина, численно равная отношению силы (f) действующей перпендикулярно поверхности, к площади (s) этой поверхности.  си:   пасила давления сила давления (f) — сила, действующая перпендикулярно поверхности тела, равная произведению давления (p) на площадь этой поверхности (s).  си:   ндавление газов и жидкостей давление однородной жидкости давление жидкости (p) на дно сосуда зависит только от её плотности (ρ) и высоты столба жидкости (h).  си:   пазакон архимеда на тело, погруженное в жидкость (или газ), действует выталкивающая сила — архимедова сила (fв), равная весу жидкости (или газа), в объёме (vт) этого тела. fв=ρ×g×vт си:   нусловие плавания тел если архимедова сила (fв) больше силы тяжести (fт) тела, то тело всплывает. fв> fт си:   нзакон гидравлической машины силы (f1, f2) действующие на уравновешенные поршни гидравлической машины, пропорциональны площадям (s1, s2) этих поршней. закон сообщающихся сосудов однородная жидкость в сообщающихся сосудах находится на одном уровне (h) h=const си:   м работа, энергия, мощность механическая работа работа (a) — величина, равная произведению перемещения тела (s) на силу (f), под действием которой это перемещение произошло.  си:   джкоэффициент полезного действия механизма (кпд) коэффициент полезного действия (кпд) механизма (η) — число, показывающее, какую часть от всей выполненной работы (ab) составляет полезная работа (aп). η=aп/ab η=(aп/ab)×100% си: %потенциальная энергия потенциальная энергия (eп) тела, поднятого над землей, пропорциональна его массе (m) и высоте (h) над землей. eп=m×g×h си:   джкинетическая энергия кинетическая энергия (eк) движущегося тела пропорциональна его массе (m) и квадрату скорости (v2).  си:   джсохранение и превращение механической энергии сумма потенциальной (eп) и кинетической (eк) энергии в любой момент времени остается постоянной. eп+eк=constмощность мощность (n) — величина, показывающая скорость выполнения работы и равная: 1) отношению работы (a) ко времени (t), за которое она выполнена; 2) произведению силы (f), под действием которой перемещается тело, на среднюю скорость (v) его перемещения. си:   вт
4,6(95 оценок)
Это интересно:
Новые ответы от MOGZ: Физика
logo
Вход Регистрация
Что ты хочешь узнать?
Спроси Mozg
Открыть лучший ответ