Рассмотрим тело простейшей формы - куб. Длина, ширина и высота куба равны друг другу:
L = D = H
Обозначим каждый из параметров как переменная "х". После нагревания длина, ширина и высота увеличились на 1%. То есть икс увеличился на 1%. Обозначим каждый из изменившихся параметров как "X" и выразим его через увеличение прежнего параметра:
X = x + (x/100)*1
X = x*(1 + 1/100)
X = x*(1 + 0,01)
X = 1,01*x
Тогда новый объём тела будет равен:
V = X³ = (1,01*x)³ = 1,030301*x³, что приблизительно можно считать равным 1,03*х³.
Т.к. x³ = v - объём до нагревания, то:
V = 1,03*v = v*(1 + 0,03) = v*(1 + 3/100) = v + (v/100)*3 - прежний объём увеличился на 3%
ответ: 3%.
Используем формулу расчёта пройденного пути при равноускоренном движении: 
Отрезок t будет всегда равен единице, поскольку мы считаем пройденные путь за одну секунду.
Начальная скорость v0 будет равен для n-ой секунды (начиная с нуля) a*n, то есть с самого движения начальная скорость была a*0, после первой секунды мы уже разогнались до скорости a*1, после второй a*2
Тогда наша формула пройденного пути для n-ой секунды становится:

Можно составить пропорцию для S_n и S_n+1, то есть для n-ой секунды и следующей, так как мы знаем, что их отношение должно быть равно 3 и решить уравнение, найдя n
Но гораздо проще теперь просто подобрать:
S_0 = a/2 = 0.5 * a
S_1 = a + a/2 = 1.5 * a
S_2 = 2*a + a/2 = 2.5 * a
S_3 = 3*a + a/2 = 3.5 * a
Мы видим, что именно для S_1 (которая началась с первой секунды, то есть это вторая секунда) отношение с предыдущим 1.5*a / 0.5*a = 3, так что правильный ответ За вторую секунду
Дано:
====================
Знайти:
====================
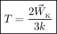
Розв'язання. У молекулярно-кінетичній теорії (МКТ) температура — це величина, обумовлена середньою кінетичною енергією поступального руху частинок, з яких складається система:
Визначемо значення шуканої величини:
====================
Відповідь: