М
Молодежь
К
Компьютеры-и-электроника
Д
Дом-и-сад
С
Стиль-и-уход-за-собой
П
Праздники-и-традиции
Т
Транспорт
П
Путешествия
С
Семейная-жизнь
Ф
Философия-и-религия
Б
Без категории
М
Мир-работы
Х
Хобби-и-рукоделие
И
Искусство-и-развлечения
В
Взаимоотношения
З
Здоровье
К
Кулинария-и-гостеприимство
Ф
Финансы-и-бизнес
П
Питомцы-и-животные
О
Образование
О
Образование-и-коммуникации
Мэйбл123456789
Мэйбл123456789
30.09.2021 08:24 •  География

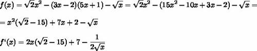
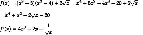
Найдите производную функции: 1)f(x)=(4кореньx+3)(4кореньx-3)+2x^2.2)f(x)=(x^2+5)(x^2-4)+2кореньx3)f(x)=корень2x^2-(3x-2)(5x+1)- кореньx

👇
Ответ:
05Дарья50
05Дарья50
30.09.2021

По фоткам поймешь 1 это 1 2 это 2 3 это 3


Найдите производную функции: 1)f(x)=(4кореньx+3)(4кореньx-3)+2x^2.2)f(x)=(x^2+5)(x^2-4)+2кореньx3)f(
Найдите производную функции: 1)f(x)=(4кореньx+3)(4кореньx-3)+2x^2.2)f(x)=(x^2+5)(x^2-4)+2кореньx3)f(
Найдите производную функции: 1)f(x)=(4кореньx+3)(4кореньx-3)+2x^2.2)f(x)=(x^2+5)(x^2-4)+2кореньx3)f(
4,5(49 оценок)
Открыть все ответы
Ответ:
джем16
джем16
30.09.2021
Сзапада дуют ветры с атлантики, они приносят влажный воздух, облака. эти облака доходят до высоких гор анд, где поднимаются вверх, сталкиваются с холодным воздухом на высоте и выливаются дождём. поэтому в амазонии, на равнинах северо-восточной части южной америки влажно. южнее, на атлантическом побережье аргентины суше, там нет такого обилия дождей и холоднее. там степь - пампасы. на запад от анд влага с атлантики не доходит, а с тихого океана ветер не приносит облака. поэтому на западе, между и тихим океаном пустыни, где дождей не бывает вообще никогда. вода только в немогочисленных коротких реках, которые текут с ледников анд в тихий океан. но на юге, где не так жарко, дожди бывают, это патагония, там растут леса. вдоль всей южной америки в тихом океане с юга на север проходит холодое течение гумбольдта. вода холодная до самого экватора, пингвины живут.
4,4(88 оценок)
Ответ:
pdv20
pdv20
30.09.2021
Арктические пустыни в пределах зоны арктических пустынь расположены земля франца-иосифа, новосибирские острова, остров врангеля, большие части новой земли и северной земли, а также ряд мелких островов арктики. арктические пустыни представляют собой бесплодные земли, скованные вечной мерзлотой и покрытые крупными ледниками (общая площадь покровного оледенения — более 55 тыс. км²). почвы бедны гумусом. растительность почти отсутствует и представлена преимущественно лишайниками. животный мир крайне беден тундра зона тундры охватывает около 10 % территории россии и находится в пределах арктического и субарктического климатических поясов; простирается от границы с финляндией на западе до беринговова пролива на востоке. зона занимает неширокую прибрежную полосу на крайнем севере европ. части россии и достигает максимальной ширины 500 км в сибири; значительную протяжённость имеет также на крайнем северо-востоке россии, где на юг простирается до северной части полуострова камчатка. тундра практически безлесна; вечная мерзлота залегает близко к поверхности и задерживает влагу, образующуюся при оттаивании верхнего слоя почвы. лесотундра зона лесотундры протянулась узкой полосой (20—200 км) вдоль южной границы тундры от кольского полуострова до колымы. находится в пределах субарктического климатического пояса. от тундры отличается, прежде всего, характером растительности — в лесотундре произрастают низкорослая берёза, лиственница и ель. значительные площади занимают торфяные болота. тайга тайга — наиболее обширная природная зона россии — протянулась от западных границ россии до тихого океана. занимает территории восточно-европейской и западно-сибирской равнин к северу от 56°—58° с. ш. и большую часть территории к востоку от енисея; таёжные леса доходят до южных границ россии в сибири; всего на тайгу приходится свыше 60 % площади россии. в меридиональном направлении тайгу подразделяют на восточную, с континентальным климатом, и западную, с более мягким климатом; в целом климат зоны влажный, с умеренно тёплым (на севере прохладным) летом и суровой зимой; зимой — устойчивый снежный покров. смешанные и широколиственные леса южная тайга в европ. части россии сменяется смешанными лесами. климат умеренно-континентальный, довольно влажный; продолжительное, тёплое лето, продолжительная, умеренно-холодная зима; средняя температура июля+ °c, января -−14 °c в европейской части и до −28 °c на дальнем востоке. годовая сумма осадков достигает 500—800 мм. это примерно равно испарению. коэффициент увлажнения чуть больше единицы, поэтому здесь значительно ниже, чем в тайге. лесостепь зона лесостепи является, как и следует из названия, переходной между лесной зоной и степью; тянется почти непрерывной полосой от границ центр. украины через восточно-европейскую равнину, юг урала и западную сибирь до алтая. средняя температура июля до 21 °c, января до −8 °c в европейской части и до −18 °c в западной сибири. почвы — серые лесные и чернозёмные; в западной сибири также распространены слабо лугово-чернозёмные почвы. степь протяжённость степи с севера на юг в европ. россии — около 200 км. широкая полоса степи простирается от южной украины восточно-европейской равнины и северу казахстана к алтайским горам. участки лесостепи и степи встречаются в горных котловинах южной сибири. климатические условия изменяются при движении с запада на восток; сибирские степи отличаются сухостью, суровой зимой и большой контрастностью температур сравнительно с европейскими. полупустыня и пустыня эти природные зоны занимают небольшую часть тер=ии россии и находятся в пределах прикаспийской низменности. климат сухой, континентальный. средняя температура января до −10 °c, июля — до 24 °c. летом температура в тени нередко достигает 40 °c. увлажнение крайне недостаточное. в зоне пустынь часты суховеи и пыльные бури. они образуют холмы- барханы
4,7(54 оценок)
Это интересно:
Новые ответы от MOGZ: География
logo
Вход Регистрация
Что ты хочешь узнать?
Спроси Mozg
Открыть лучший ответ