М
Молодежь
К
Компьютеры-и-электроника
Д
Дом-и-сад
С
Стиль-и-уход-за-собой
П
Праздники-и-традиции
Т
Транспорт
П
Путешествия
С
Семейная-жизнь
Ф
Философия-и-религия
Б
Без категории
М
Мир-работы
Х
Хобби-и-рукоделие
И
Искусство-и-развлечения
В
Взаимоотношения
З
Здоровье
К
Кулинария-и-гостеприимство
Ф
Финансы-и-бизнес
П
Питомцы-и-животные
О
Образование
О
Образование-и-коммуникации
werdam
werdam
05.12.2020 04:43 •  Геометрия

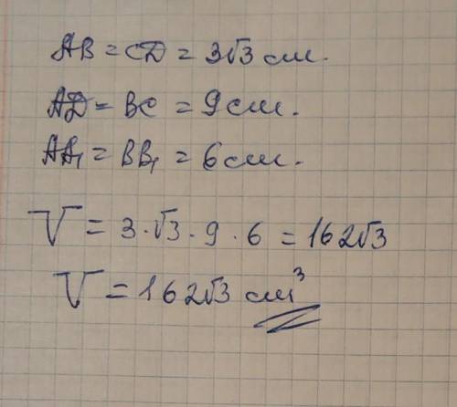
Діагональ прямокутного паралелепіпеда дорівнює 12 см і утворює з площиною основи кут 30 градусів. кут між діагоналлю основи та однією з її сторін дорівнює 60°. знайдіть об'єм паралелепіпеда.

👇
Ответ:
YarMax
YarMax
05.12.2020

V=162√3 см^3

Объяснение:

решение во вложении


Діагональ прямокутного паралелепіпеда дорівнює 12 см і утворює з площиною основи кут 30 градусів. ку
Діагональ прямокутного паралелепіпеда дорівнює 12 см і утворює з площиною основи кут 30 градусів. ку
4,8(12 оценок)
Открыть все ответы
Ответ:
natalya180000
natalya180000
05.12.2020

1. ∠ABD = ∠AMK как соответственные при пересечении параллельных прямых BD и МК,

∠А - общий для треугольников ABD и AMK, значит

Δ ABD подобен ΔAMK по двум углам.

AB : AM = BD : MK

AB : 32 = 4 : 8

AB = 32 · 4 / 8 = 16 см

2. ∠ОАВ = ∠ОМК как накрест лежащие при пересечении параллельных прямых АВ и МК,

∠О - общий для треугольников АОВ и МОК, значит

ΔАОВ подобен ΔМОК по двум углам.

АB : MK = AO : MO

AB : 10 = 8 : 20

AB = 10 · 8 / 20 = 4

3. AD : AB = 6 : 15 = 2 : 5

AK : AC = 8 : 20 = 2 : 5

∠A - общий для треугольников ADK и АВС, значит

ΔADK подобен ΔABC по двум пропорциональным сторонам и углу между ними.

DK : BC = AD : AB = 2 : 5

DK : 30 = 2 : 5

DK = 30 · 2 / 5 = 12 см

4. Площади подобных треугольников относятся, как квадрат коэффициента подобия:

k² = S₁ : S₂ = 64/81

k = √(64/81) = 8/9

a₁ : a₂ = 8 : 9

Из условия задачи не ясно, какому из треугольников принадлежит сторона, равная 8. Рассмотрим два случая:

1) a₁ = 8

8 : a₂ = 8 : 9

a₂ = 8 · 9 / 8 = 9

2) a₂ = 8

a₁ : 8 = 8 : 9

a₁ = 8 · 8 / 9 = 64/9 = 7_1/9

4,4(29 оценок)
Ответ:
svetakotelniko
svetakotelniko
05.12.2020
Угол 150 градусов, как легко заметить, = 90 + 60 => задача построить угол в 60 градусов (предполагается, что прямой угол строить умеем...) а угол в 60 градусов всегда в паре с углом в 30 градусов в любом прямоугольном треугольнике, т.е. если построим угол в 30 градусов, то угол в 60 градусов получится... а угол в 30 градусов строится из соображания, что катет в прямоугольном треугольнике, лежащий против угла в 30 градусов, равен половине гипотенузы... такая идея... 1. провести прямую 2. построить к ней _|_ (получили угол 90 градусов) 3. этот _|_ будет катетом, лежащим против угла в 30 градусов (т.е. угол в 60 градусов будет рядом с углом в 90 градусов) ---на _|_ отмечаем отрезок любой длины (катет), обозначаем точку А например... 4. из точки А строим _|_ к уже имеющемуся _}_-ру (получится прямая, параллельная первой прямой...) 5. раствором циркуля = катет*2 отмечаем гипотенузу прямоугольного треугольника (прямой угол в вершине А) угол между построенной гипотенузой и первой прямой = 150 градусов
4,8(87 оценок)
Новые ответы от MOGZ: Геометрия
logo
Вход Регистрация
Что ты хочешь узнать?
Спроси Mozg
Открыть лучший ответ