М
Молодежь
К
Компьютеры-и-электроника
Д
Дом-и-сад
С
Стиль-и-уход-за-собой
П
Праздники-и-традиции
Т
Транспорт
П
Путешествия
С
Семейная-жизнь
Ф
Философия-и-религия
Б
Без категории
М
Мир-работы
Х
Хобби-и-рукоделие
И
Искусство-и-развлечения
В
Взаимоотношения
З
Здоровье
К
Кулинария-и-гостеприимство
Ф
Финансы-и-бизнес
П
Питомцы-и-животные
О
Образование
О
Образование-и-коммуникации
Мэрия777
Мэрия777
29.03.2020 09:07 •  Геометрия

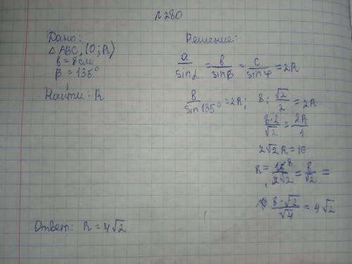
Одна из сторон треугольника равна b ,а угол, лежащий против нее, равен В(бетта).Найдите радиус окружности, описанный около треугольника, если :b=8см , В=135°​

Желательно решение на фото!

👇
Ответ:
dscirina
dscirina
29.03.2020

ответ: р

адиус окружности равен 4√2

Объяснение:


Одна из сторон треугольника равна b ,а угол, лежащий против нее, равен В(бетта).Найдите радиус окруж
4,5(7 оценок)
Открыть все ответы
Ответ:

ответ:Треугольник равнобедренный,т к у него два равных угла,а против равных углов лежат равные стороны

Если угол при вершине треугольника равен 74 градуса,то углы при основании равны

(180-74):2=106:2=53 градуса

Биссектрисы поделили эти углы на равные части

53:2=26,5 градусов

Большой угол при пересечении биссектрис равен

180-26,5•2=180-53=127 градусов

Объяснение:При пересечении биссектрис,проведённых из углов при основании треугольника,получился равнобедренный треугольник,углы при основании которого равны по 26,5 градусов,а угол при вершине 127 градусов

4,8(79 оценок)
Ответ:
Pahamoseuv
Pahamoseuv
29.03.2020

1. Сторона правильного шестиугольника:

a = P / 6 = 72 / 6 = 12 см

В правильном шестиугольнике сторона равна радиусу описанной около него окружности:

R = a = 12 см

Тогда диаметр:

d = 2R = 24 см

2. Вершины квадрата делят окружность на 4 равных дуги. Дуга АВ равна 1/4 длины окружности.

Радиус окружности, описанной около квадрата:

R = a√2/2 = 5√2 · √2 / 2 = 5 см, тогда длина окружности:

C = 2πR = 2 · π · 5 = 10π см,

а длина дуги:

l = C/4 = 10π/4 = 2,5π см

3. Центр окружности, описанной около правильного треугольника, лежит в точке пересечения его биссектрис. А так как медианы и высоты совпадают с биссектрисами, то точкой пересечения делятся в отношении 2 : 1, считая от вершины. Расстояние от точки пересечения до вершины и есть радиус описанной окружности, это 2/3 высоты:

R = 2/3h = 2/3 · 9 = 6 см

Sкруга = πR² = 36π см²

4. Радиус вписанной окружности равен половине радиуса описанной окружности в правильном треугольнике:

r = R/2 = 18/2 = 9 см.

Длина вписанной окружности:

C = 2πr = 2 · π · 9 = 18π см

Из формулы радиуса вписанной окружности выразим сторону:

r = a√3/6

a = 6r/√3 = 2√3r = 2√3 · 9 = 18√3 см

P = 3a = 54√3 см

P / C = 54√3 / (18π) = 3√3/π


Народ а то убьют 1.периметр правильного шестиугольника равен 72 длину диаметра окружности, описанной
4,5(85 оценок)
Это интересно:
Новые ответы от MOGZ: Геометрия
logo
Вход Регистрация
Что ты хочешь узнать?
Спроси Mozg
Открыть лучший ответ