М
Молодежь
К
Компьютеры-и-электроника
Д
Дом-и-сад
С
Стиль-и-уход-за-собой
П
Праздники-и-традиции
Т
Транспорт
П
Путешествия
С
Семейная-жизнь
Ф
Философия-и-религия
Б
Без категории
М
Мир-работы
Х
Хобби-и-рукоделие
И
Искусство-и-развлечения
В
Взаимоотношения
З
Здоровье
К
Кулинария-и-гостеприимство
Ф
Финансы-и-бизнес
П
Питомцы-и-животные
О
Образование
О
Образование-и-коммуникации
Fizruk115
Fizruk115
16.10.2020 15:57 •  Геометрия

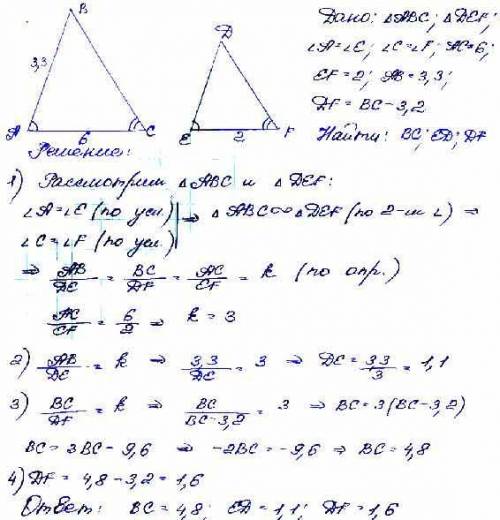
В треугольниках ABC и DEF угол. A равен углу E, угол C равен углу F. AC равно 6, EF равно 2; AB равно 3,3 . Сторона DF меньше стороны BC на 3,2. найдите неизвестные стороны треугольников. ​

👇
Ответ:
AMORVL
AMORVL
16.10.2020

BC=4.8 ED=1.1 DF=1.6

Объяснение:


В треугольниках ABC и DEF угол. A равен углу E, угол C равен углу F. AC равно 6, EF равно 2; AB равн
4,8(78 оценок)
Открыть все ответы
Ответ:
carrot4
carrot4
16.10.2020
1. Рассмотрим параллелограмм ABCD. Диагональ AC разделяет его на два треугольника: ABC и ADC. Эти треугольники равны по стороне и двум прилежащим углам (AC-общая сторона, угол 1=углу 2 и угол 3=углу 4 как накрест лежащие углы при пересечении секущей AC и CD, AD и BC соответственно). Поэтому AB=CD, AD= BC и угол B=углу D. Далее, пользуясь равенствами углов 1 и 2, 3 и 4, получаем угол A=углу 1+угол 3=угол 2+угол 4=углу C. 2. Пусть О-точка пересечения диагоналей AC и BD параллелограмма ABCD. Треугольники AOB и COD равны по стороне и двум прилежащим углам (AB=CD как противоположные стороны параллелограмма, угол 1= углу 2 и угол 3=углу 4 как накрест лежащие углы при пересечение параллельных прямых AB и CD секущими AC и BD соответсвенно). Поэтому AO=OC и OB=OD, что и требовалось доказать
4,4(11 оценок)
Ответ:
egortupi
egortupi
16.10.2020

ответ:

пусть  х градусов меньший,тогда 8х больший зная,что их сумма 180(по свойствам параллелограмма),составим и решим уравнение х+8х=180

                                                                          9х=180

                                                                            х=20

итак,20  меньший  угол,тогда 8*20=160-больший

4,8(26 оценок)
Это интересно:
Новые ответы от MOGZ: Геометрия
Полный доступ к MOGZ
Живи умнее Безлимитный доступ к MOGZ Оформи подписку
logo
Вход Регистрация
Что ты хочешь узнать?
Спроси Mozg
Открыть лучший ответ