решение смотрите во вложении

В равнобедренной трапеции высота, опущенная из вершины на большее основание, делит его на два отрезка, один из которых равен полусумме оснований, другой — полуразности оснований.
Можно, не будучи знакомым с этим свойством равнобедренной трапеции, самостоятельно прийти к этому выводу, опустив две высоты из вершин тупых углов трапеции и сделав необходимые расчеты.
Средняя линия равна 16, следовательно, сумма оснований равна
ВС+АD=16·2=32
Большее основание равно
AD=32-BC=32-6=26
Отрезок НD- меньший из двух, на которые высота делит основание АД.
Полуразность оснований равна
HD=(26-6):2=10
ответ: Отрезок HD=10
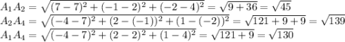
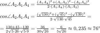
Задача: Даны координаты вершин пирамиды A₁A₂A₃A₄: A₁A₂A₃A₄: A₁(7, 2, 4), A₂(7, −1, −2), A₃(3, 3, 1), A₄(−4, 2, 1). Найти угол между ребрами A₁A₂ и A₁A₄.
··································································
ответ: Угол между ребрами A₁A₂ и A₁A₄ равен
76°.