М
Молодежь
К
Компьютеры-и-электроника
Д
Дом-и-сад
С
Стиль-и-уход-за-собой
П
Праздники-и-традиции
Т
Транспорт
П
Путешествия
С
Семейная-жизнь
Ф
Философия-и-религия
Б
Без категории
М
Мир-работы
Х
Хобби-и-рукоделие
И
Искусство-и-развлечения
В
Взаимоотношения
З
Здоровье
К
Кулинария-и-гостеприимство
Ф
Финансы-и-бизнес
П
Питомцы-и-животные
О
Образование
О
Образование-и-коммуникации
Apple019
Apple019
22.03.2021 02:23 •  Геометрия

Стороны треугольника соответственно равны 6 м, 25 м, 29 м.

1. Вычисли радиус окружности, описанной около треугольника.

2. Вычисли радиус окружности, вписанной в треугольник

👇
Ответ:
gribovskayairi
gribovskayairi
22.03.2021

1) Радиус описанной около треугольника окружности равен

r = \frac{a \times b \times c}{4 \times s}

Где а, b, c - длины сторон, а S - площадь этого треугольника.

По формуле Герона вычисляем площадь данного треугольника.

s = \sqrt{p(p - a)(p - b)(p - c)}

Где

p = \frac{a + c + b}{2}

р - полупериметр треугольника.

S = 60 cм^2. а*b*c = 4350.

Радиус описанной окружности равен 4350/60 = 72,5 см.

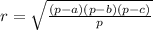
2) Радиус вписанной в треугольник окружности равен

r = \sqrt{ \frac{(p -a)(p - b)(p - c) }{p} }

р - полупериметр.

r = 2 см.

4,5(85 оценок)
Открыть все ответы
Ответ:
DEMON8800
DEMON8800
22.03.2021

1) Вписанные углы - угол, вершина которого лежит на окружности, а обе стороны пересекают эту окружность.

2) Вписанный угол равен половине центрального угла, опирающегося на ту же дугу, и равен половине дуги, на которую он опирается, либо дополняет половину центрального угла до 180°.

3) Угол с вершиной в центре окружности называется центральным углом.

4) Величина вписанного угла равна половине величины центрального угла, опирающегося на ту же дугу.

5) 180°

6) Внешние углы - это углы, смежные с углами треугольника.

7) Внешний угол треугольника равен сумме двух внутренних углов треугольника, не смежных с ним.

8) S=1/2 a*hª-треугольник. Площадь параллелограмма равна произведению высоты и стороны, к которой проведена высота.

9)

4,8(5 оценок)
Ответ:
софика4
софика4
22.03.2021

1) Вписанные углы - угол, вершина которого лежит на окружности, а обе стороны пересекают эту окружность.

2) Вписанный угол равен половине центрального угла, опирающегося на ту же дугу, и равен половине дуги, на которую он опирается, либо дополняет половину центрального угла до 180°.

3) Угол с вершиной в центре окружности называется центральным углом.

4) Величина вписанного угла равна половине величины центрального угла, опирающегося на ту же дугу.

5) 180°

6) Внешние углы - это углы, смежные с углами треугольника.

7) Внешний угол треугольника равен сумме двух внутренних углов треугольника, не смежных с ним.

8) S=1/2 a*hª-треугольник. Площадь параллелограмма равна произведению высоты и стороны, к которой проведена высота.

9)

4,4(26 оценок)
Новые ответы от MOGZ: Геометрия
logo
Вход Регистрация
Что ты хочешь узнать?
Спроси Mozg
Открыть лучший ответ