М
Молодежь
К
Компьютеры-и-электроника
Д
Дом-и-сад
С
Стиль-и-уход-за-собой
П
Праздники-и-традиции
Т
Транспорт
П
Путешествия
С
Семейная-жизнь
Ф
Философия-и-религия
Б
Без категории
М
Мир-работы
Х
Хобби-и-рукоделие
И
Искусство-и-развлечения
В
Взаимоотношения
З
Здоровье
К
Кулинария-и-гостеприимство
Ф
Финансы-и-бизнес
П
Питомцы-и-животные
О
Образование
О
Образование-и-коммуникации
ASLiza1992
ASLiza1992
24.11.2021 02:06 •  Геометрия

Как далеко можно видеть поверхность Земли с вершины Эльбруса,возвышающегося над уровнем моря около 5600 м (точнее 5642 м)? Радиус Земли около 6370 км.​

👇
Ответ:
matanya281
matanya281
24.11.2021

Объяснение:

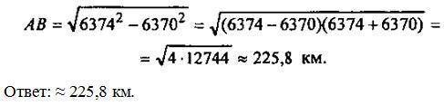
Пусть В — точка нахождения самолета. Проведем касательную ВА. Тогда в ΔΑΟΒ, ∠A = 90°; АО = 6370 км; ОВ = = 6374 км. По теореме Пифагора:


Как далеко можно видеть поверхность Земли с вершины Эльбруса,возвышающегося над уровнем моря около 5
4,5(65 оценок)
Открыть все ответы
Ответ:
wigswond
wigswond
24.11.2021

Объяснение:

а)

Тр-к АВО=тр-ку СВО - прямоугольные

АО=СО - по условию

<ВАО=<ВСО - по условию

Тр-ки равны по 2 признаку равенства прямоугольных треугольников (если катет и прилежащий острый угол одного тр-ка соответственно равны катету и прилежащему острому углу другого тр-ка, то такие Тр-ки равны)

Тр-к АDO= тр-ку СDO - прямоугольные

АО=СО - по условию

<DAO=<DCO - по условию

Тр-ки равны по 2 признаку равенства прямоугольных треугольников (по катету и прилежащему острому углу)

б)

Тр-к АОВ=тр-ку DOC

AO=DO - по условию

ВО=СО - по условию

<АОВ=<DOC - как вертикальные

Тр-ки равны по 2 сторонам и углу между ними (1 признак)

Тр-к ВОD=тр-ку СОА

ВО=СО - по условию

АО=DO - по условию

<ВОD=<COA - как вертикальные

Тр-ки равны по 2 сторонам и углу между ними (1 признак)

2

Тр-к равнобедренный

Р=3,2 м

Боковая сторона = b м

Основание а=( b-1) м

Найти : а ; b

Р=2b+a

3,2=2b+(b-1)

3,2=2b+b-1

3,2=3b-1

3b=3,2+1

3b=4,2

b=1,4 м - боковая сторона

а=1,4-1=0,4 м - основание

ответ : 1,4 м ; 1,4 м ; 0,4 м

4,7(27 оценок)
Ответ:
Dima1234567y
Dima1234567y
24.11.2021

ответ: после построения диагоналей ромб разбивается на 4  треугольника. диагонали ромба располагаются под прямым углом, то есть, треугольники, которые образовались, оказываются прямоугольными.

обозначим большую и малую диагонали ромба как  d₁  и  d₂, а углы ромба —  а  (острый) и  в  (тупой), теперь из формулы

tg a = 2/((d₁/d₂)-(d₂/d₁))  находим

tg a = 2/((2√3 /2)-(2/2√3)) = 2/(√3-1/√3)=

2/(√3-√3/3=2/(√3(1-1/3)= 2/(√3(2/3)=

2√3/2=√3

tg 60°=√3

углы  ромба  60°  и  120°

подробнее - на -

объяснение:

4,5(68 оценок)
Новые ответы от MOGZ: Геометрия
logo
Вход Регистрация
Что ты хочешь узнать?
Спроси Mozg
Открыть лучший ответ