М
Молодежь
К
Компьютеры-и-электроника
Д
Дом-и-сад
С
Стиль-и-уход-за-собой
П
Праздники-и-традиции
Т
Транспорт
П
Путешествия
С
Семейная-жизнь
Ф
Философия-и-религия
Б
Без категории
М
Мир-работы
Х
Хобби-и-рукоделие
И
Искусство-и-развлечения
В
Взаимоотношения
З
Здоровье
К
Кулинария-и-гостеприимство
Ф
Финансы-и-бизнес
П
Питомцы-и-животные
О
Образование
О
Образование-и-коммуникации
atodyshevoxz3kh
atodyshevoxz3kh
21.08.2022 23:56 •  Геометрия

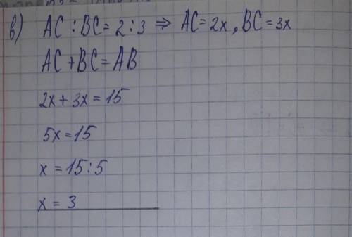
На отрезке AB длинной 15 см отмечена точка C.Найдите длины отрезков AC и CB если а)отрезок АС на 3 метра длинеее отрезка СВ б)отрезок АС в два раза длиннее отрезка ВС длины отрезков АС и ВС относятся как 2:3

👇
Ответ:
urannoss127
urannoss127
21.08.2022

Мы это делали)

Объяснение:

Вооооот)))))


На отрезке AB длинной 15 см отмечена точка C.Найдите длины отрезков AC и CB если а)отрезок АС на 3 м
На отрезке AB длинной 15 см отмечена точка C.Найдите длины отрезков AC и CB если а)отрезок АС на 3 м
4,6(75 оценок)
Открыть все ответы
Ответ:
тучя
тучя
21.08.2022

552 кв. ед.

Объяснение:

Все грани прямоугольного параллелепипеда - прямоугольники.

Квадрат диагонали прямоугольного параллелепипеда равен сумме квадратов трех его измерений:

B₁D² = AB² + AD² + BB₁²

BB₁² = B₁D² - (AB² + AD²) = 17² - (9² + 12²) = 289 - (81 + 144) = 289 - 225 = 64

BB₁ = √64 = 8

Площадь полной поверхности:

Sполн. = Sбок. + 2Sосн.

Площадь боковой поверхности:

Sбок. = Росн. · ВВ₁

Sбок. = 2(AB + AD) · BB₁ = 2(9 + 12) · 8 = 336 кв. ед.

Sосн. = AB · AD = 9 · 12 = 108 кв. ед.

Sполн. = 336 + 2 · 108 = 336 + 216 = 552 кв. ед.


Дан прямоугольный параллелепипед, два измерения которого равны 9 и 12, диагональ - 17. найдите площа
4,7(94 оценок)
Ответ:
рамика2
рамика2
21.08.2022

552 кв. ед.

Объяснение:

Все грани прямоугольного параллелепипеда - прямоугольники.

Квадрат диагонали прямоугольного параллелепипеда равен сумме квадратов трех его измерений:

B₁D² = AB² + AD² + BB₁²

BB₁² = B₁D² - (AB² + AD²) = 17² - (9² + 12²) = 289 - (81 + 144) = 289 - 225 = 64

BB₁ = √64 = 8

Площадь полной поверхности:

Sполн. = Sбок. + 2Sосн.

Площадь боковой поверхности:

Sбок. = Росн. · ВВ₁

Sбок. = 2(AB + AD) · BB₁ = 2(9 + 12) · 8 = 336 кв. ед.

Sосн. = AB · AD = 9 · 12 = 108 кв. ед.

Sполн. = 336 + 2 · 108 = 336 + 216 = 552 кв. ед.


Дан прямоугольный параллелепипед, два измерения которого равны 9 и 12, диагональ - 17. найдите площа
4,6(37 оценок)
Это интересно:
Новые ответы от MOGZ: Геометрия
logo
Вход Регистрация
Что ты хочешь узнать?
Спроси Mozg
Открыть лучший ответ