М
Молодежь
К
Компьютеры-и-электроника
Д
Дом-и-сад
С
Стиль-и-уход-за-собой
П
Праздники-и-традиции
Т
Транспорт
П
Путешествия
С
Семейная-жизнь
Ф
Философия-и-религия
Б
Без категории
М
Мир-работы
Х
Хобби-и-рукоделие
И
Искусство-и-развлечения
В
Взаимоотношения
З
Здоровье
К
Кулинария-и-гостеприимство
Ф
Финансы-и-бизнес
П
Питомцы-и-животные
О
Образование
О
Образование-и-коммуникации
93angela93
93angela93
27.01.2020 10:06 •  Геометрия

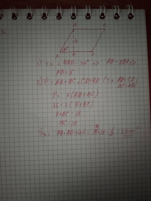
Периметр паралеллограмма равен 36 см найдите площадь паралеллограмма если его высота 4 см а один из углов 30 градусов ​

👇
Ответ:
oksana190181
oksana190181
27.01.2020

ответ:20см^2

Объяснение: подробнее на фотке


Периметр паралеллограмма равен 36 см найдите площадь паралеллограмма если его высота 4 см а один из
4,7(96 оценок)
Открыть все ответы
Ответ:
SulikMur
SulikMur
27.01.2020
Радиус, вписанной в прямоугольный тр-к ,окружности равен:

  r = (a+b-c)/2 , где а,b - катеты, с - гипотенуза, тогда

  4 = (а+b -26)/2

  а+b -26 = 8

  а+b  = 34

Таким образом Р = а+b +с =34+26 =60 (см).

2) Правило:
   отрезки  касательных к окружности, проведённые из одной точки, равны, т.е.

    ВМ =ВР=5,    АМ=АТ=12, СТ=СР = х, тогда по теореме Пифагора:

    (5 + х)²+(12 + х)²=17²

     25 + 10х + х² +144 +24х +х² = 289

     2·х² +34х+169 - 289 =0

     2·х² +34х -120 =0

      х² + 17х -60 =0

      х₁ = 3;    х₂= -20 ( не подходит по смыслу задачи)

 Таким образом АС = 15, ВС = 8  и Р= 15+8+17 = 40 (см).


Впрямоугольном треугольнике вписана окружность радиуса r. найдите периметр треугольника, если: а) ги
4,6(94 оценок)
Ответ:
minzilyana
minzilyana
27.01.2020
Пусть в равнобедренный прямоугольный треугольник ABC с прямым углом C вписана окружность с центром O. Обозначим точки касания окружности со сторонами AC,AB и BC за D,E,F соответственно. По свойству вписанной окружности, CD=CF, AD=AE, BE=BF. Заметим, что отрезок CD равен r, так как четырехугольник CDOF - квадрат (в нём две соседние стороны равны r, а все четыре угла прямые). Обозначим отрезок AD за x, тогда стороны треугольника равны r+x, r+x и 2x. Мы знаем, что в равнобедренном прямоугольном треугольнике гипотенуза в √2 раз больше катета (это очевидно следует из теоремы Пифагора), значит, имеет место равенство √2(r+x)=2x, откуда (2-√2)x=√2r, то есть x=√2/(2-√2)*r=1/(√2-1)*r=(√2+1)*r. Значит, катет треугольника равен (√2+2)*r, а гипотенуза равна 2*(√2+1)*r.
4,6(16 оценок)
Это интересно:
Новые ответы от MOGZ: Геометрия
logo
Вход Регистрация
Что ты хочешь узнать?
Спроси Mozg
Открыть лучший ответ