М
Молодежь
К
Компьютеры-и-электроника
Д
Дом-и-сад
С
Стиль-и-уход-за-собой
П
Праздники-и-традиции
Т
Транспорт
П
Путешествия
С
Семейная-жизнь
Ф
Философия-и-религия
Б
Без категории
М
Мир-работы
Х
Хобби-и-рукоделие
И
Искусство-и-развлечения
В
Взаимоотношения
З
Здоровье
К
Кулинария-и-гостеприимство
Ф
Финансы-и-бизнес
П
Питомцы-и-животные
О
Образование
О
Образование-и-коммуникации
Janeke
Janeke
31.07.2020 17:50 •  Геометрия

Параллельные прямые с и d пересекают стороны угла Bac найдите длину отрезка DE, если AD=4, D1E1=16см и DE=AD1​

👇
Ответ:
нона57
нона57
31.07.2020
8 см
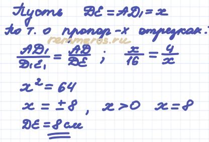
Пусть ДЕ=АД1=х, то АД1/Д1Е1=АД/ДЕ. х/16=4/х. Х2=64. Х=8
8 см
Пусть ДЕ=АД1=х, то АД1/Д1Е1=АД/ДЕ.  х/16=4/х.  Х2=64.  Х=8
4,6(90 оценок)
Открыть все ответы
Ответ:
натик65
натик65
31.07.2020

1. 5√6; 2. 60; 3. 9√2

Объяснение:

Фото:

1. По т. Пифагора найдём СВ:

СВ²=7²-5²

СВ²=49-25=24

СВ=2√6

Найдём площадь:

S=1/2*5*2√6=5√6

2. Так как ∆ равнобед. ВС=АВ, а СD=DA (в равнобед. ∆ проведённая высота является и медианой, и биссектрисой)

По т. Пифагора найдём АD:

AD²=13²-12²

AD²=169-144=25

AD=5

AC=2AD=2*5=10

Найдём площадь:

S=1/2*12*10=60

3. Так внешние углы равны, то и внутренние (угол ВСА=ВАС) тоже будут равны, следовательно ∆ АВС равнобед. (ВС=АВ). Обозначим ВС и АВ за х и по т. Пифагора найдём эти стороны:

х²+х²=6²

2х²=36

х²=18

х=3√2

Найдём площадь:

S=1/2*6*3√2=9√2

Про трапецию, мне кажется, слишком мало данных, чтобы найти площадь.


СВЕРХ СРОЧЬНО СВЕРХ СРОЧЬНО СВЕРХ СРОЧЬНО СВЕРХ СРОЧЬНО СВЕРХ СРО И 5 ЗВЁЗД + Бонус Найдите (1)АВСД
4,7(45 оценок)
Ответ:
Margo80m
Margo80m
31.07.2020

6 см²

Объяснение:

Пусть ABCD – трапеция, CD = 2 см, АВ = 3 см, BD = 3 см и АС = 4 см. Чтобы известные элементы включить в один треугольник, перенесём диагональ BD на вектор DC в положение СВ'. Рассмотрим треугольник АСВ1. Так как ВВ'CD – параллелограмм, то В'С = 3 см, АВ' = АВ + ВВ' = АВ + CD = 5 см. Теперь известны все три стороны треугольника АВ'С. Так как АС²+ В'С²= АВ'²= 16+9=25, то треугольник АВ'С – прямоугольный, причем АСВ' = 90°. Отсюда непосредственно следует, что угол между диагоналями трапеции, равный углу АСВ', составляет 90°. Площадь трапеции, как и всякого четырёхугольника, равна половине произведения диагоналей на синус угла между ними. Отсюда площадь равна 1/2AC * BD * sin 90° = 1/2 * 4 * 3 * 1 = 6 см²

4,7(47 оценок)
Это интересно:
Новые ответы от MOGZ: Геометрия
logo
Вход Регистрация
Что ты хочешь узнать?
Спроси Mozg
Открыть лучший ответ